Официальное опубликование правовых актов
ОФИЦИАЛЬНОЕ ОПУБЛИКОВАНИЕ
Постановление Правительства Смоленской области от 02.04.2026 № 184
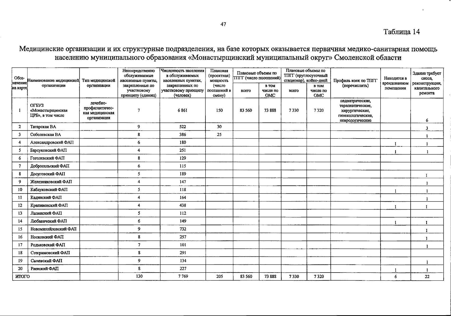
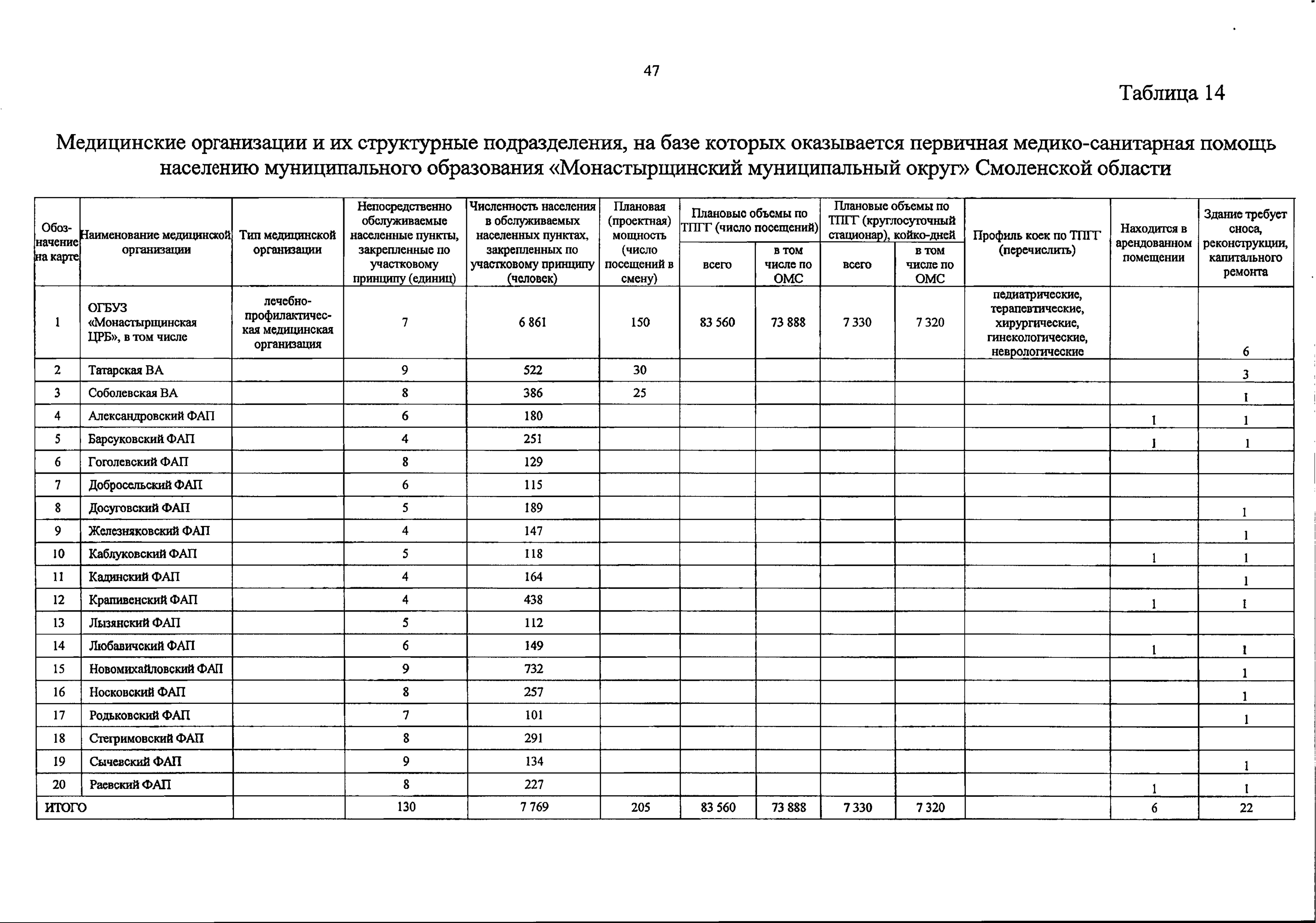
"О внесении изменения в региональную программу "Модернизация первичного звена здравоохранения в Смоленской области"
Номер опубликования: 6700202604070006
Дата опубликования: 07.04.2026
Страница №47 из 554: