Официальное опубликование правовых актов
ОФИЦИАЛЬНОЕ ОПУБЛИКОВАНИЕ
Постановление Правительства Смоленской области от 20.01.2026 № 12
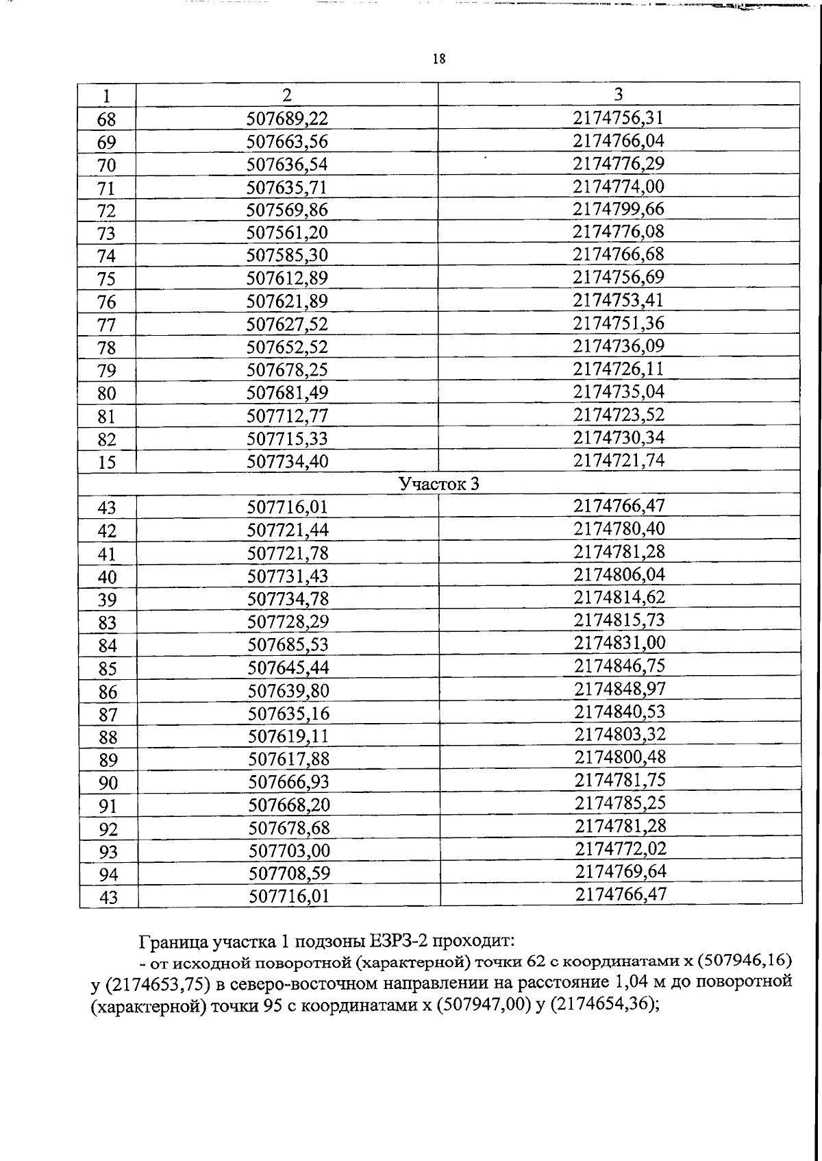
"Об установлении единой охранной зоны, единой зоны регулирования застройки и хозяйственной деятельности, единой зоны охраняемого природного ландшафта объекта культурного наследия (памятника истории и культуры) народов Российской Федерации регионального значения "Дом жилой, XIX в. (ныне средняя школа № 2)", XIX в., расположенного по адресу (местонахождение): Смоленская область, Вяземский район, г. Вязьма, ул. 25 Октября, д. 21, объекта культурного наследия (памятника истории и культуры) народов Российской Федерации регионального значения "Хозяйственная постройка дома Лютова", кон. XVIII в., нач. XX в., расположенного по адресу (местонахождение): Смоленская область, Вяземский район, г. Вязьма, пер. Дворцовый, дом 1, объекта культурного наследия (памятника истории и культуры) народов Российской Федерации регионального значения "Дом Лютова", вторая половина XIX века, расположенного по адресу (местонахождение): Смоленская область, Вяземский район, г. Вязьма, ул. 25 Октября, д. 10, объекта культурного наследия (памятника истории и культуры) народов Российской Федерации регионального значения "Дом Леонтьева", вт. пол. XIX в., расположенного по адресу (местонахождение): Смоленская область, Вяземский район, город Вязьма, ул. 25 Октября, д. 10-а, и утверждении требований к градостроительным регламентам в границах территорий данных зон"
Номер опубликования: 6700202601220008
Дата опубликования: 22.01.2026
Страница №18 из 36:
Увеличить