Официальное опубликование правовых актов
ОФИЦИАЛЬНОЕ ОПУБЛИКОВАНИЕ
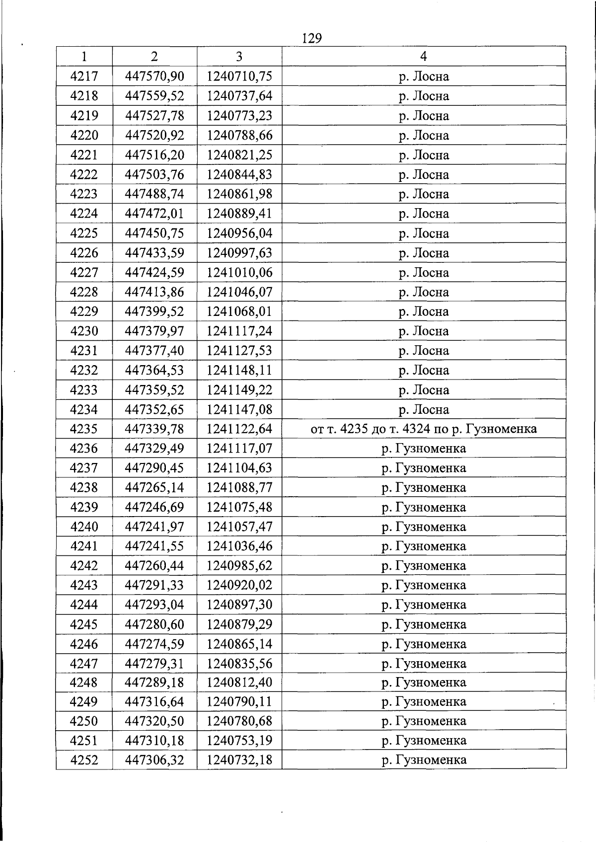
Закон Смоленской области от 18.12.2025 № 179-з
"О внесении изменений в областной закон "Об установлении границ муниципального образования "Смоленский муниципальный округ" Смоленской области"
Номер опубликования: 6700202512180059
Дата опубликования: 18.12.2025
Страница №129 из 231:
Увеличить