Официальное опубликование правовых актов
ОФИЦИАЛЬНОЕ ОПУБЛИКОВАНИЕ
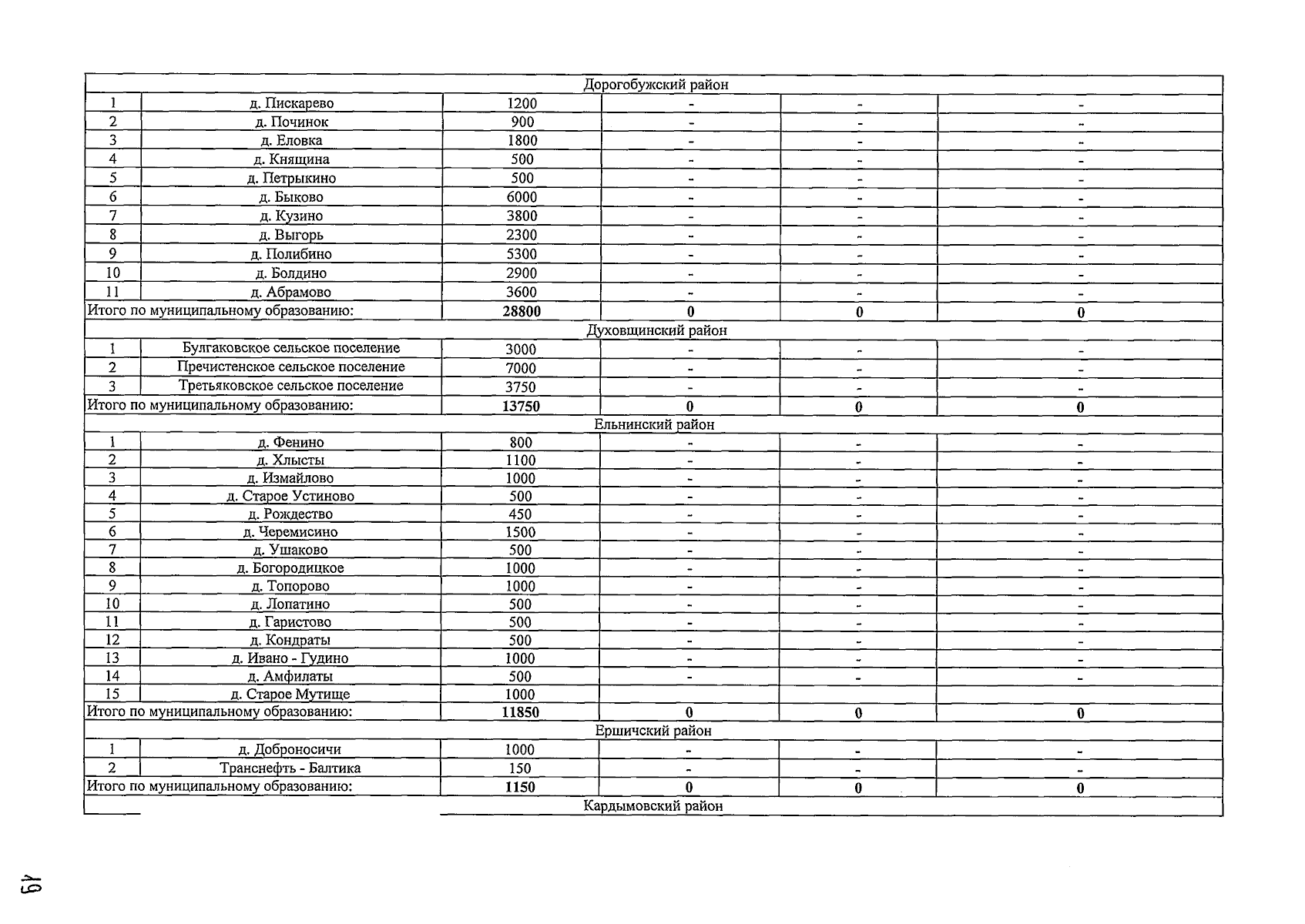
Указ Губернатора Смоленской области от 19.03.2025 № 29
"Об утверждении сводного плана тушения лесных пожаров на территории Смоленской области на период пожароопасного сезона 2025 года"
Номер опубликования: 6700202503210004
Дата опубликования: 21.03.2025
Страница №20 из 102:
Увеличить