Официальное опубликование правовых актов
ОФИЦИАЛЬНОЕ ОПУБЛИКОВАНИЕ
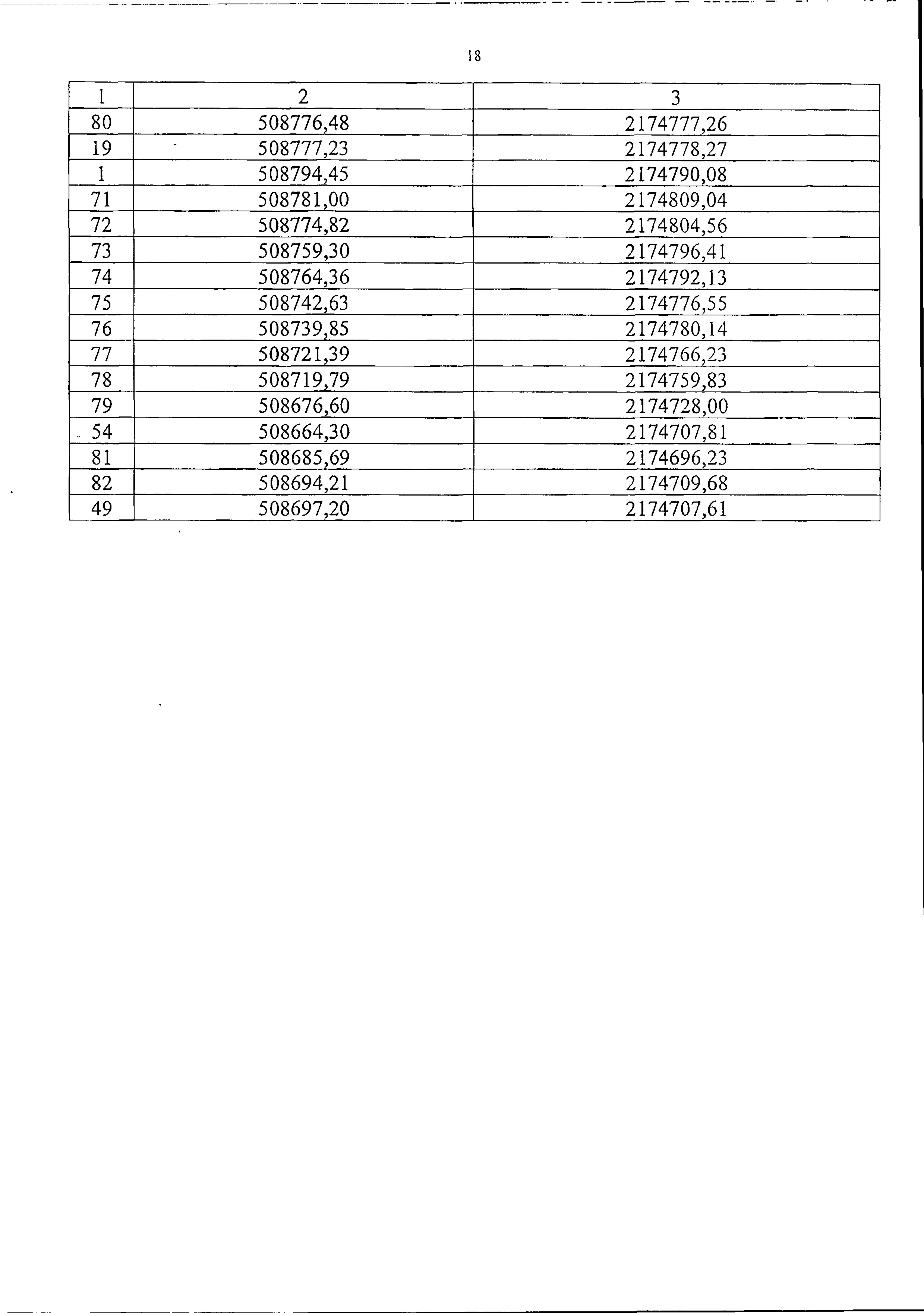
Постановление Правительства Смоленской области от 07.12.2023 № 170
"Об установлении единой охранной зоны, единой зоны регулирования застройки и хозяйственной деятельности объекта культурного наследия (памятника истории и культуры) народов Российской Федерации регионального значения "Дом жилой", XIX в., расположенного по адресу: Смоленская область, Вяземский район, г. Вязьма, ул. Ленина, 41, объекта культурного наследия (памятника истории и культуры) народов Российской Федерации регионального значения "Дом жилой", вт. пол. XIX в., расположенного по адресу: Смоленская область, Вяземский район, город Вязьма, ул. Ленина, д. 43, объекта культурного наследия (памятника истории и культуры) народов Российской Федерации регионального значения "Дом жилой", конец XVIII – начало XIX вв., расположенного по адресу: Смоленская область, Вяземский район, г. Вязьма, ул. Ленина, д. 16, и утверждении требований к градостроительным регламентам в границах территорий данных зон"
Номер опубликования: 6700202312150001
Дата опубликования: 15.12.2023
Страница №18 из 25: