Официальное опубликование правовых актов
ОФИЦИАЛЬНОЕ ОПУБЛИКОВАНИЕ
Постановление Администрации Смоленской области от 18.11.2015 № 730
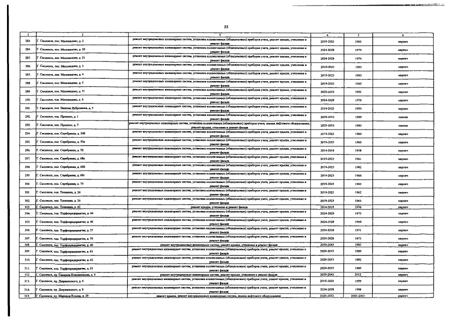
"О внесении изменения в Региональную программу капитального ремонта общего имущества в многоквартирных домах, расположенных на территории Смоленской области, на 2014-2043 годы"
Номер опубликования: 6700201511240001
Дата опубликования: 24.11.2015
Страница №33 из 184:
Увеличить