Официальное опубликование правовых актов
ОФИЦИАЛЬНОЕ ОПУБЛИКОВАНИЕ
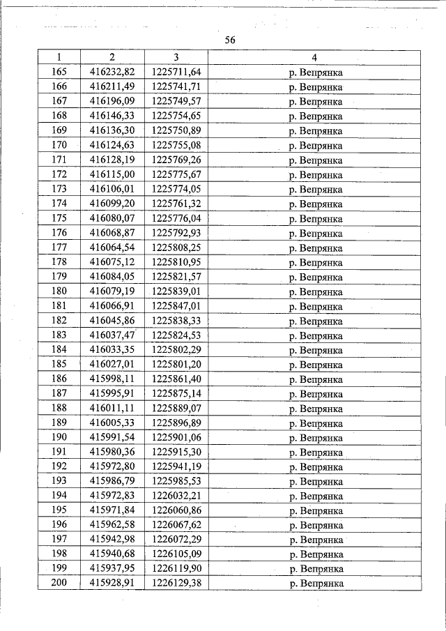
Закон Смоленской области от 28.05.2015 № 79-з
"О внесении изменений в областной закон "О наделении статусом муниципального района муниципального образования "Монастырщинский район" Смоленской области, об установлении границ муниципальных образований, территории которых входят в его состав, и наделении их соответствующим статусом"
Номер опубликования: 6700201505280037
Дата опубликования: 28.05.2015
Страница №56 из 364:
Увеличить