Официальное опубликование правовых актов
ОФИЦИАЛЬНОЕ ОПУБЛИКОВАНИЕ
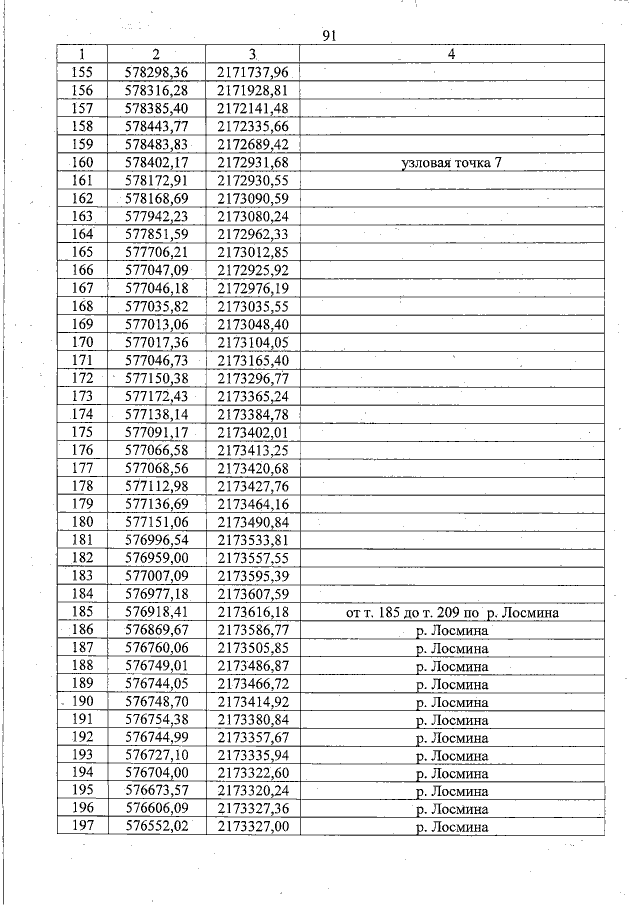
Закон Смоленской области от 28.05.2015 № 70-з
"О внесении изменений в областной закон "О наделении статусом муниципального района муниципального образования "Сычевский район" Смоленской области, об установлении границ муниципальных образований, территории которых входят в его состав, и наделении их соответствующим статусом"
Номер опубликования: 6700201505280015
Дата опубликования: 28.05.2015
Страница №91 из 192:
Увеличить