Официальное опубликование правовых актов
ОФИЦИАЛЬНОЕ ОПУБЛИКОВАНИЕ
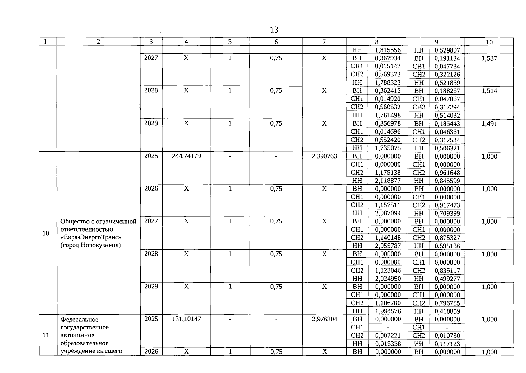
Постановление Региональной энергетической комиссии Свердловской области от 10.12.2024 № 133-ПК
"Об установлении индивидуальных тарифов на услуги по передаче электрической энергии для взаиморасчетов между сетевыми организациями, расположенными на территории Свердловской области, на 2025–2029 годы"
(Зарегистрирован 19.01.2026 № 3977)
Номер опубликования: 6601202601230128
Дата опубликования: 23.01.2026
Страница №13 из 14:
Увеличить