Официальное опубликование правовых актов
ОФИЦИАЛЬНОЕ ОПУБЛИКОВАНИЕ
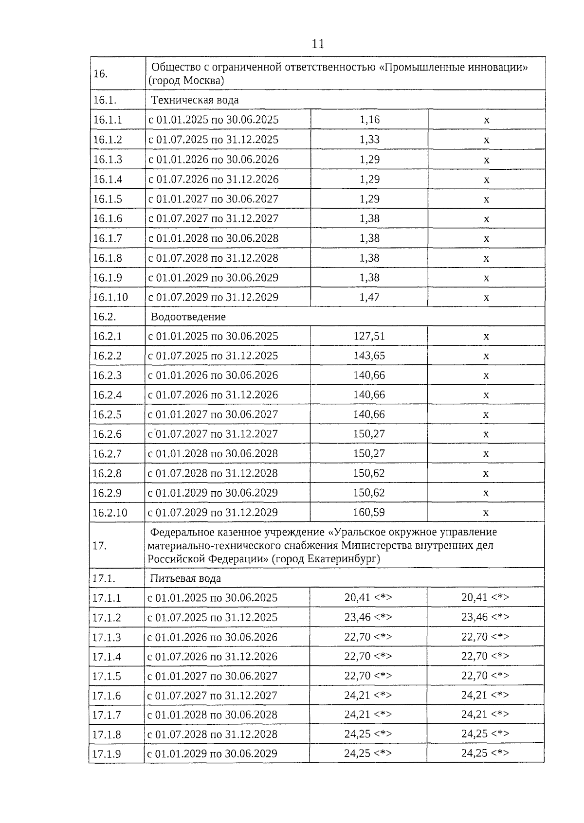
Постановление Региональной энергетической комиссии Свердловской области от 12.12.2024 № 179-ПК
"Об установлении тарифов в сфере холодного водоснабжения и (или) водоотведения организациям водопроводно-канализационного хозяйства Свердловской области с использованием метода индексации на основе долгосрочных параметров регулирования"
(Зарегистрирован 19.01.2026 № 4021)
Номер опубликования: 6601202601230119
Дата опубликования: 23.01.2026
Страница №11 из 19:
Увеличить