Официальное опубликование правовых актов
ОФИЦИАЛЬНОЕ ОПУБЛИКОВАНИЕ
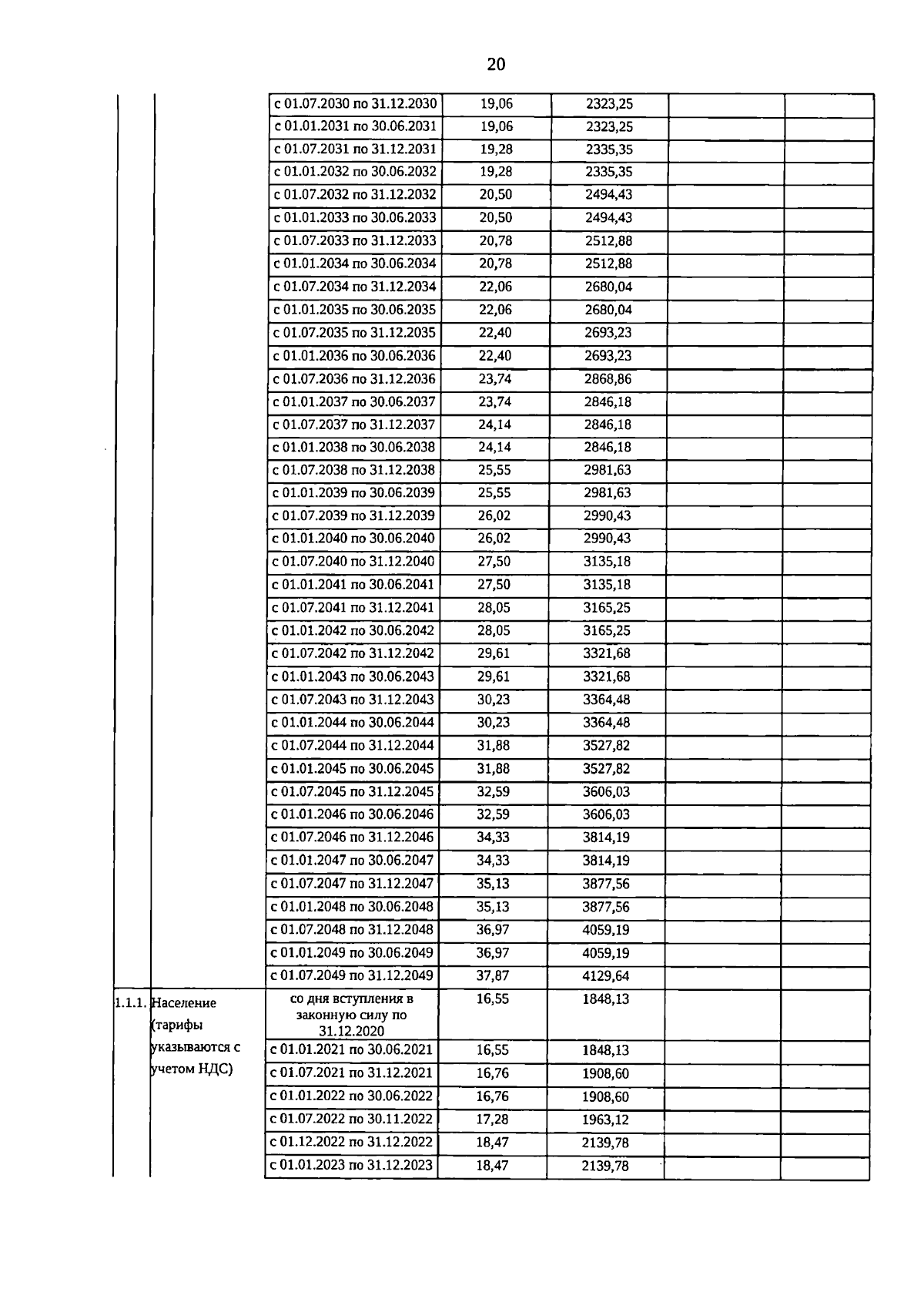
Постановление Региональной энергетической комиссии Свердловской области от 17.12.2024 № 240-ПК
"О внесении изменений в отдельные постановления Региональной энергетической комиссии Свердловской области об установлении тарифов на горячую воду в открытых системах теплоснабжения (горячего водоснабжения)"
(Зарегистрирован 19.01.2026 № 4072)
Номер опубликования: 6601202601230081
Дата опубликования: 23.01.2026
Страница №20 из 52:
Увеличить