Официальное опубликование правовых актов
ОФИЦИАЛЬНОЕ ОПУБЛИКОВАНИЕ
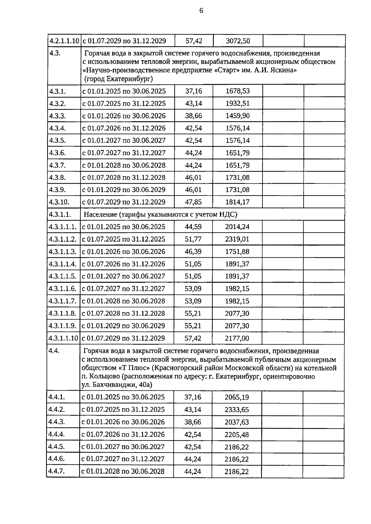
Постановление Региональной энергетической комиссии Свердловской области от 17.12.2024 № 239-ПК
"Об установлении тарифов на горячую воду в закрытых системах горячего водоснабжения, поставляемую организациями Свердловской области, с использованием метода индексации на основе долгосрочных параметров регулирования тарифов"
(Зарегистрирован 19.01.2026 № 4071)
Номер опубликования: 6601202601230009
Дата опубликования: 23.01.2026
Страница №6 из 14:
Увеличить