Постановление Региональной энергетической комиссии Свердловской области от 17.12.2024 № 228-ПК
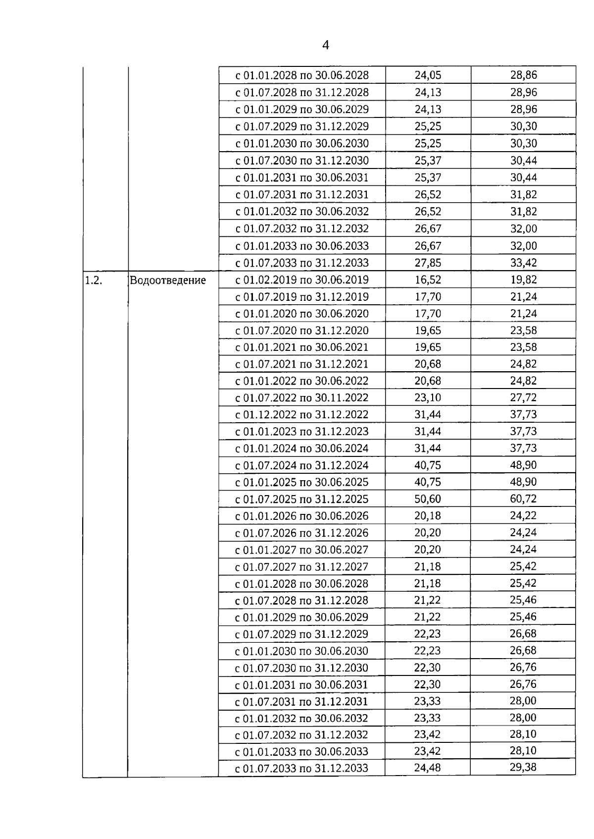
"О внесении изменений в постановление Региональной энергетической комиссии Свердловской от 31.01.2019 № 9-ПК "Об установлении обществу с ограниченной ответственностью "Инфраструктурные решения - город Лесной" (город Лесной) долгосрочных параметров регулирования тарифов, определяемых на долгосрочный период регулирования для формирования тарифов на услуги холодного водоснабжения и водоотведения, и тарифов на услуги холодного водоснабжения и водоотведения, оказываемые потребителям Городского округа "Город Лесной", на 2019 - 2033 годы"
(Зарегистрирован 19.01.2026 № 4062)
"О внесении изменений в постановление Региональной энергетической комиссии Свердловской от 31.01.2019 № 9-ПК "Об установлении обществу с ограниченной ответственностью "Инфраструктурные решения - город Лесной" (город Лесной) долгосрочных параметров регулирования тарифов, определяемых на долгосрочный период регулирования для формирования тарифов на услуги холодного водоснабжения и водоотведения, и тарифов на услуги холодного водоснабжения и водоотведения, оказываемые потребителям Городского округа "Город Лесной", на 2019 - 2033 годы"
(Зарегистрирован 19.01.2026 № 4062)
Номер опубликования: 6601202601230004
Дата опубликования:
23.01.2026
