Официальное опубликование правовых актов
ОФИЦИАЛЬНОЕ ОПУБЛИКОВАНИЕ
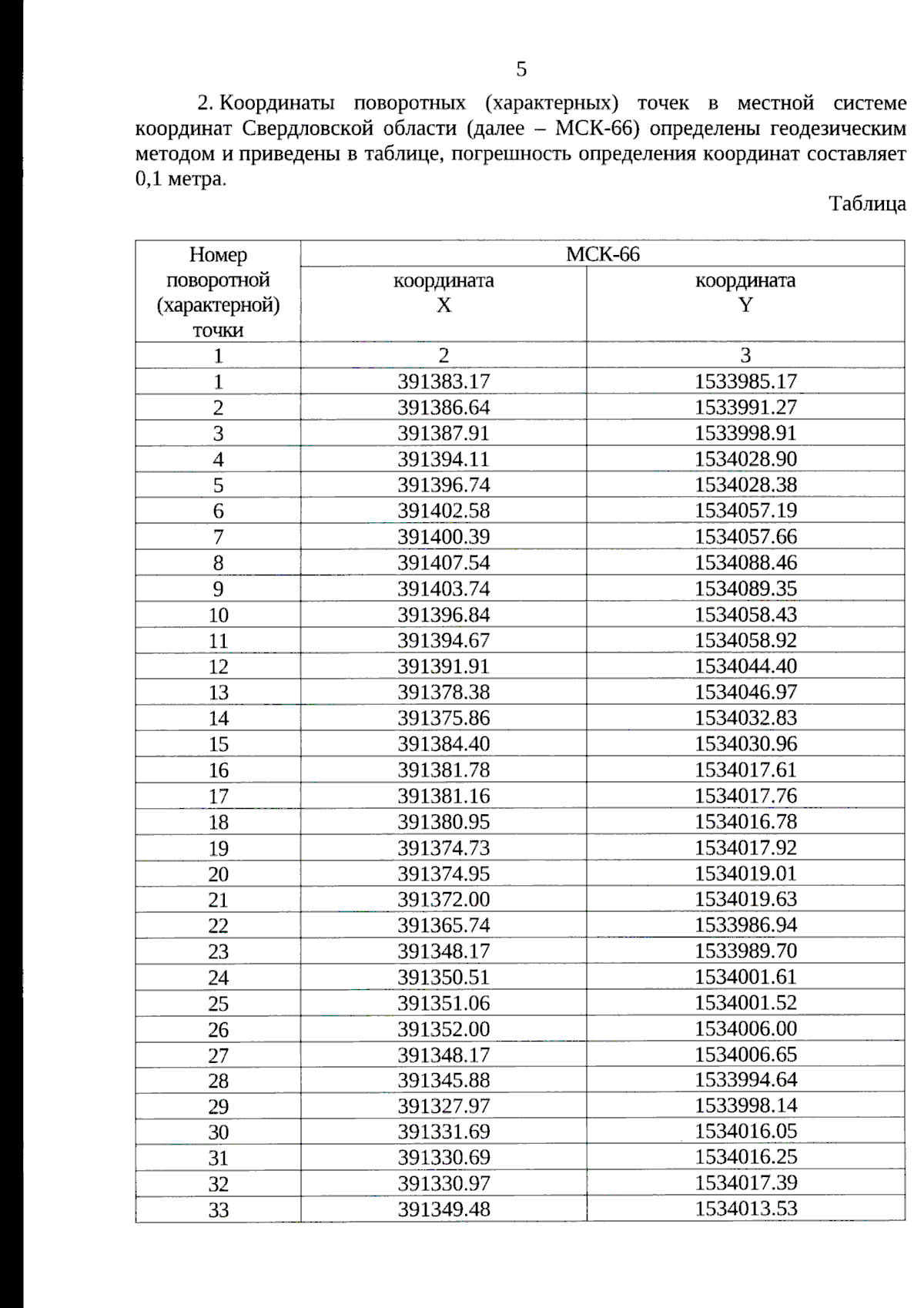
Приказ Управления государственной охраны объектов культурного наследия Свердловской области от 19.01.2026 № 24
"Об утверждении границ территории выявленного объекта археологического наследия "Культурный слой г. Екатеринбурга XVIII – начала XX века в пределах улиц Горького, Первомайская, Пушкина и Почтового переулка", расположенного по адресу (местонахождение): Свердловская область, г. Екатеринбург, квартал улиц Горького, Первомайская, Пушкина и переулка Почтовый, и установлении режима использования данной территории"
(Зарегистрирован 20.01.2026 № 4107)
Номер опубликования: 6601202601220005
Дата опубликования: 22.01.2026
Страница №5 из 6:
Увеличить