Официальное опубликование правовых актов
ОФИЦИАЛЬНОЕ ОПУБЛИКОВАНИЕ
Постановление Региональной энергетической комиссии Свердловской области от 17.12.2024 № 241-ПК
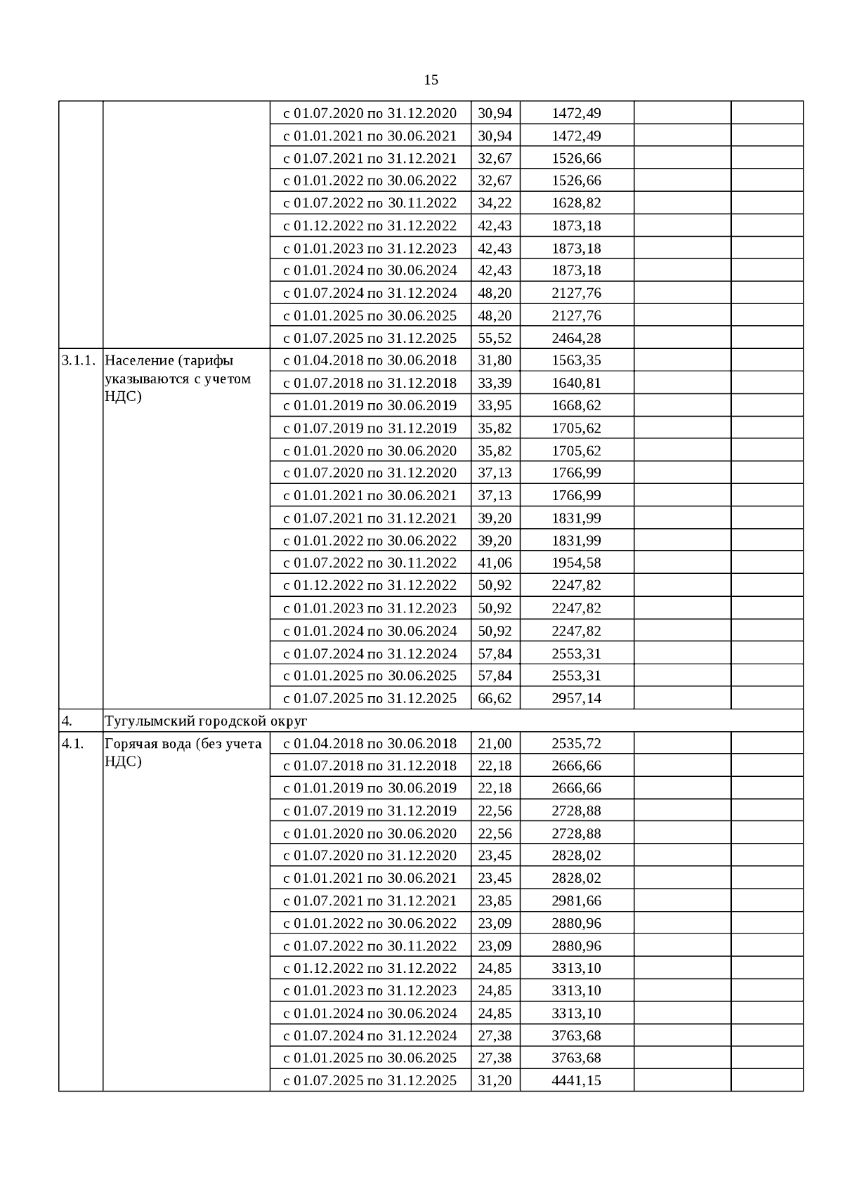
"О внесении изменений в отдельные постановления Региональной энергетической комиссии Свердловской области по установлению тарифов на услуги горячего водоснабжения организациям, осуществляющим горячее водоснабжение с использованием закрытых систем горячего водоснабжения"
(Зарегистрирован 19.01.2026 № 4073)
Номер опубликования: 6601202601220003
Дата опубликования: 22.01.2026
Страница №15 из 99:
Увеличить