Официальное опубликование правовых актов
ОФИЦИАЛЬНОЕ ОПУБЛИКОВАНИЕ
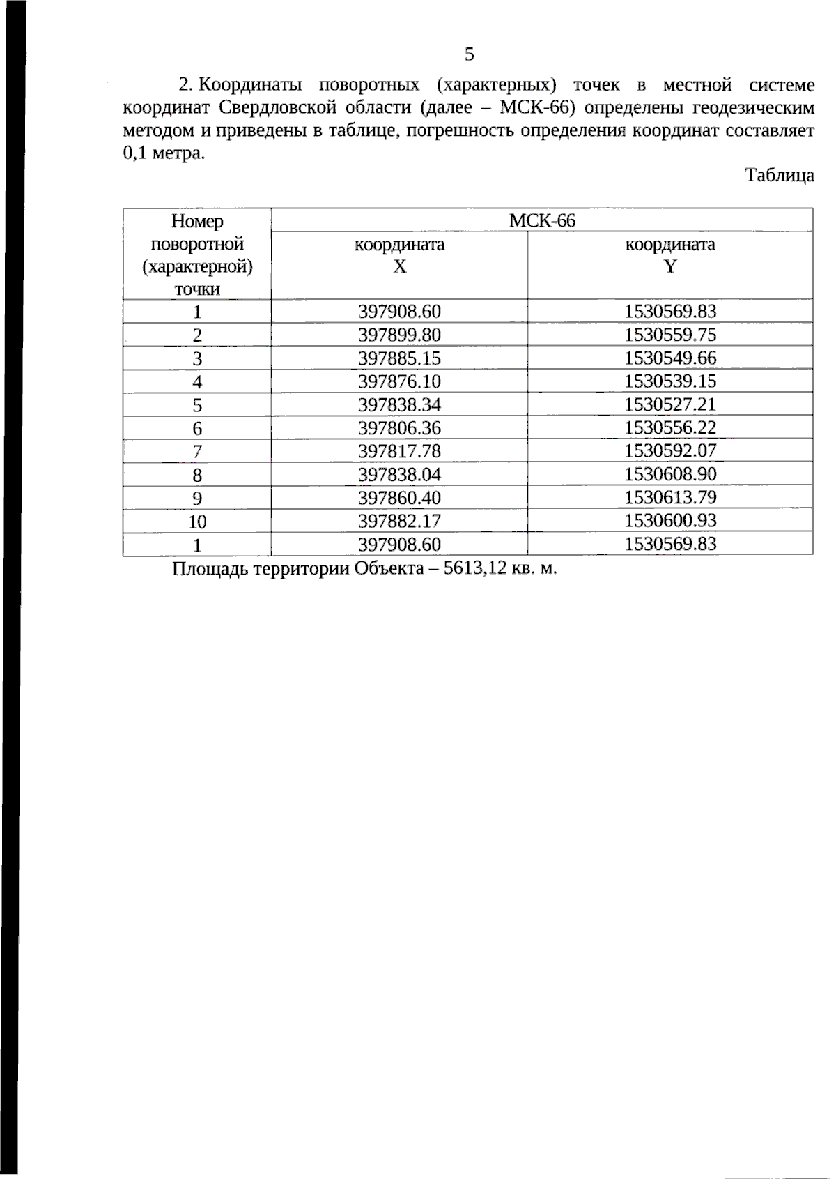
Приказ Управления государственной охраны объектов культурного наследия Свердловской области от 25.12.2025 № 752
"О включении выявленного объекта культурного наследия "Местонахождение Шувакиш XV", бронзовый век – ранний железный век, расположенного по адресу (местонахождение): Свердловская область, г. Екатеринбург, юго-восточный берег оз. Шувакиш (объект археологического наследия), в перечень выявленных объектов культурного наследия Свердловской области, утверждении его границ территории и установлении режима использования данной территории"
(Зарегистрирован 29.12.2025 № 3893)
Номер опубликования: 6601202512290017
Дата опубликования: 29.12.2025
Страница №5 из 5:
Увеличить