Официальное опубликование правовых актов
ОФИЦИАЛЬНОЕ ОПУБЛИКОВАНИЕ
Приказ Управления государственной охраны объектов культурного наследия Свердловской области от 17.12.2025 № 713
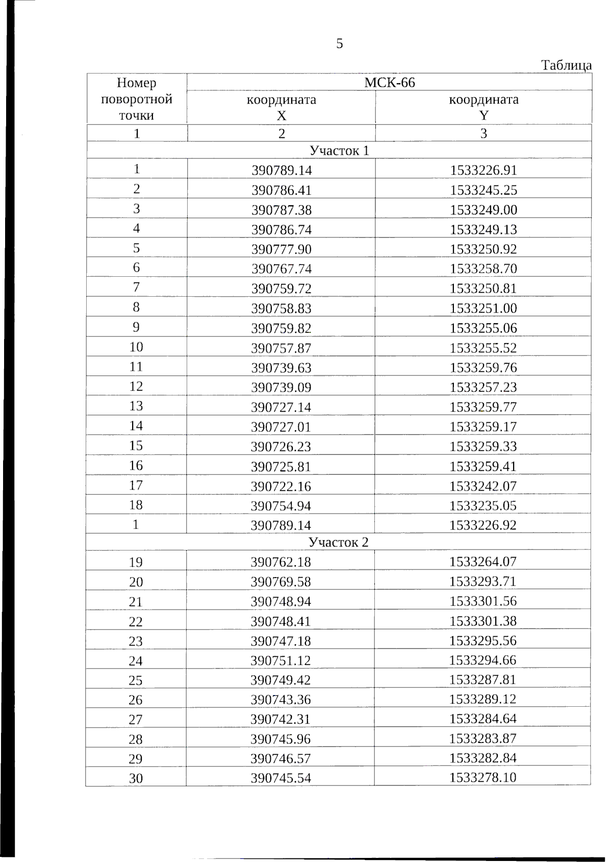
"О внесении изменений в приказ Управления государственной охраны объектов культурного наследия Свердловской области от 11.07.2023 № 426 "О включении выявленного объекта археологического наследия "Культурный слой г. Екатеринбурга в пределах улиц Хохрякова – Ленина – Вайнера – Попова", расположенного по адресу (местонахождение): Свердловская область, г. Екатеринбург, в перечень выявленных объектов культурного наследия Свердловской области, утверждении его границ территории и установлении режима использования данной территории"
(Зарегистрирован 18.12.2025 № 3647)
Номер опубликования: 6601202512180050
Дата опубликования: 18.12.2025
Страница №5 из 6:
Увеличить