Официальное опубликование правовых актов
ОФИЦИАЛЬНОЕ ОПУБЛИКОВАНИЕ
Приказ Министерства природных ресурсов и экологии Свердловской области от 29.08.2025 № 1187
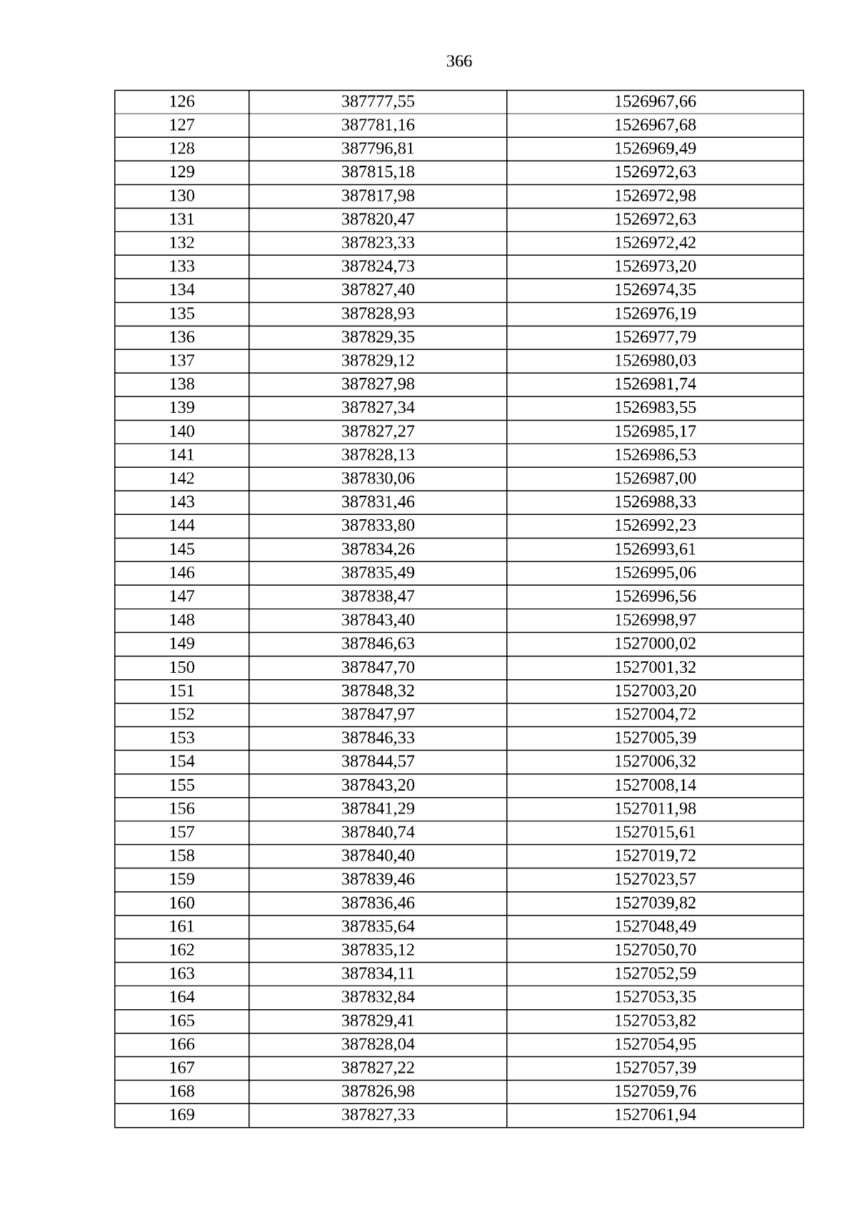
"О внесении изменений в приказ Министерства природных ресурсов и экологии Свердловской области от 20.11.2018 № 1387 "Об установлении границ водоохранных зон, прибрежных защитных полос и береговых линий водных объектов бассейна реки Исеть, расположенных на территории Свердловской области, в том числе перечень координат их опорных точек"
(Зарегистрирован 15.12.2025 № 3615)
Номер опубликования: 6601202512180024
Дата опубликования: 18.12.2025
Страница №366 из 387:
Увеличить