Официальное опубликование правовых актов
ОФИЦИАЛЬНОЕ ОПУБЛИКОВАНИЕ
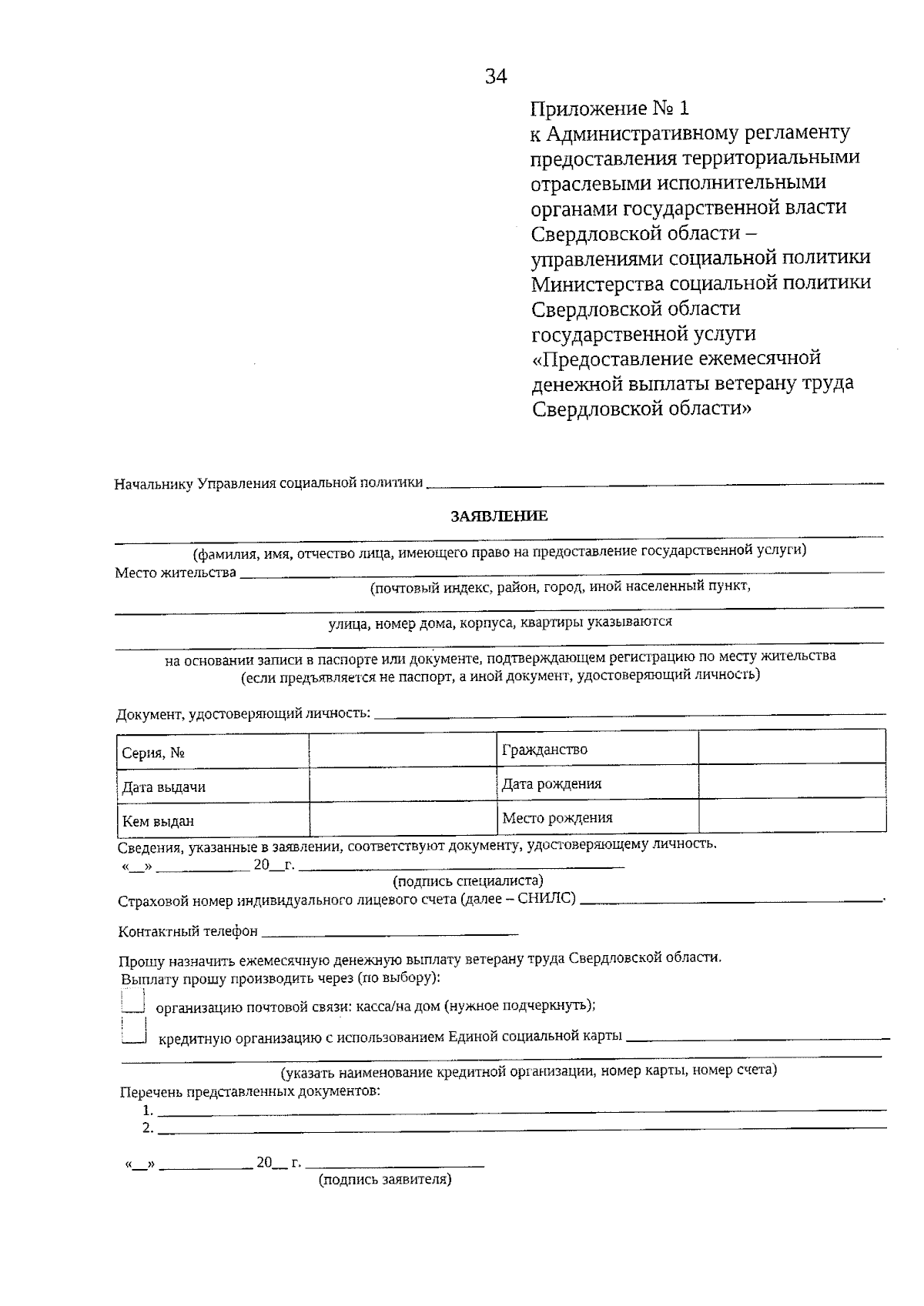
Приказ Министерства социальной политики Свердловской области от 21.05.2025 № 137
"О внесении изменений в Административный регламент предоставления территориальными отраслевыми исполнительными органами государственной власти Свердловской области – управлениями социальной политики Министерства социальной политики Свердловской области государственной услуги "Предоставление ежемесячной денежной выплаты ветерану труда Свердловской области", утвержденный приказом Министерства социальной политики Свердловской области от 27.12.2016 № 632"
(Зарегистрирован 22.05.2025 № 2948)
Номер опубликования: 6601202505230005
Дата опубликования: 23.05.2025
Страница №34 из 36:
Увеличить