Официальное опубликование правовых актов
ОФИЦИАЛЬНОЕ ОПУБЛИКОВАНИЕ
Приказ Министерства строительства и развития инфраструктуры Свердловской области от 18.04.2025 № 205-П
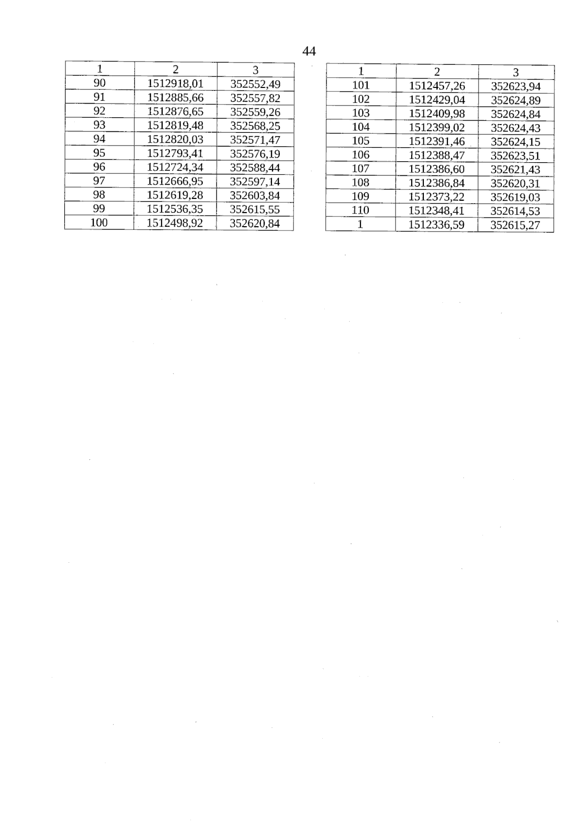
"Об утверждении основной части проекта планировки территории для размещения линейного объекта транспортной инфраструктуры регионального значения "Реконструкция автомобильной дороги г. Полевской – с. Мраморское (устройство тротуаров и искусственного освещения на участке км 0+000 – км 1+300) на территории Полевского городского округа" и основной части проекта межевания территории для размещения линейного объекта транспортной инфраструктуры регионального значения "Реконструкция автомобильной дороги г. Полевской – с. Мраморское (устройство тротуаров и искусственного освещения на участке км 0+000 – км 1+300) на территории Полевского городского округа"
(Зарегистрирован 25.04.2025 № 2883)
Номер опубликования: 6601202504280004
Дата опубликования: 28.04.2025
Страница №44 из 61:
Увеличить