Официальное опубликование правовых актов
ОФИЦИАЛЬНОЕ ОПУБЛИКОВАНИЕ
Приказ Министерства природных ресурсов и экологии Свердловской области от 26.01.2024 № 78
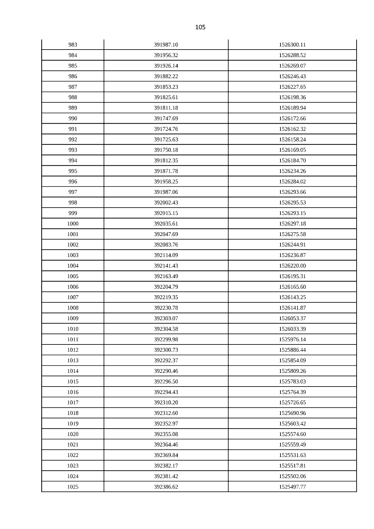
"О внесении изменений в приказ Министерства природных ресурсов и экологии Свердловской области от 20.11.2018 № 1387 "Об установлении границ водоохранных зон, прибрежных защитных полос и береговых линий водных объектов бассейна реки Исеть, расположенных на территории Свердловской области, в том числе перечень координат их опорных точек" в части уточнения границы береговой линии Верх-Исетского водохранилища"
(Зарегистрирован 26.12.2024 № 2517)
Номер опубликования: 6601202412270046
Дата опубликования: 27.12.2024
Страница №105 из 139:
Увеличить