Официальное опубликование правовых актов
ОФИЦИАЛЬНОЕ ОПУБЛИКОВАНИЕ
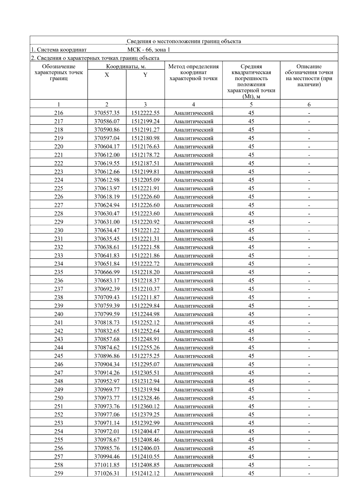
Приказ Министерства строительства и развития инфраструктуры Свердловской области от 04.12.2024 № 606-П
"О внесении изменений в Генеральный план городского округа Ревда Свердловской области, утвержденный решением Думы городского округа Ревда от 25.07.2018 № 223"
(Зарегистрирован 09.12.2024 № 2380)
Номер опубликования: 6601202412090003
Дата опубликования: 09.12.2024
Страница №527 из 610:
Увеличить