Официальное опубликование правовых актов
ОФИЦИАЛЬНОЕ ОПУБЛИКОВАНИЕ
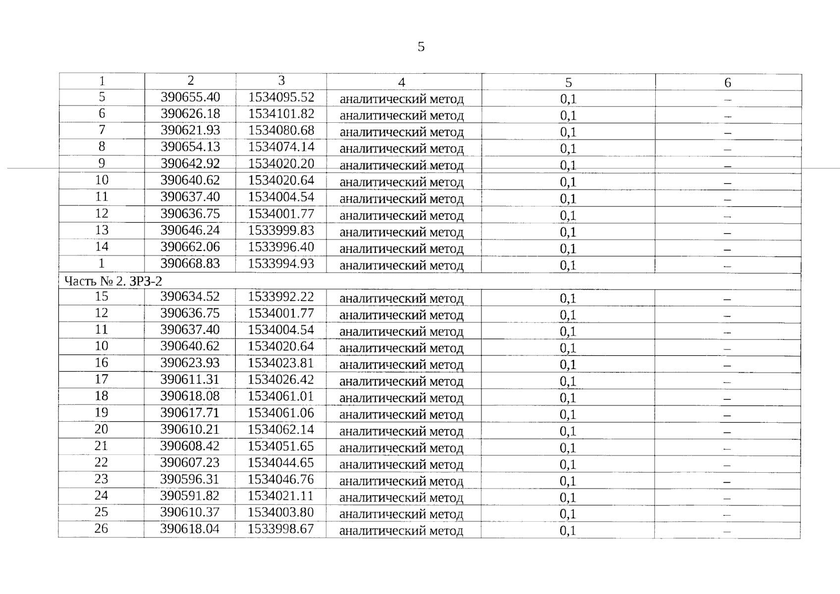
Приказ Управления государственной охраны объектов культурного наследия Свердловской области от 01.04.2024 № 189
"Об установлении зон охраны объекта культурного наследия регионального значения "Здание гостиницы "Эрмитаж", в котором в 1928 г. останавливался В.В. Маяковский", расположенного по адресу: Свердловская область, г. Екатеринбург, ул. Малышева, д. 56, и утверждении требований к градостроительным регламентам в границах данных зон"
(Зарегистрирован 02.04.2024 № 1493)
Номер опубликования: 6601202404030009
Дата опубликования: 03.04.2024
Страница №5 из 10:
Увеличить