Официальное опубликование правовых актов
ОФИЦИАЛЬНОЕ ОПУБЛИКОВАНИЕ
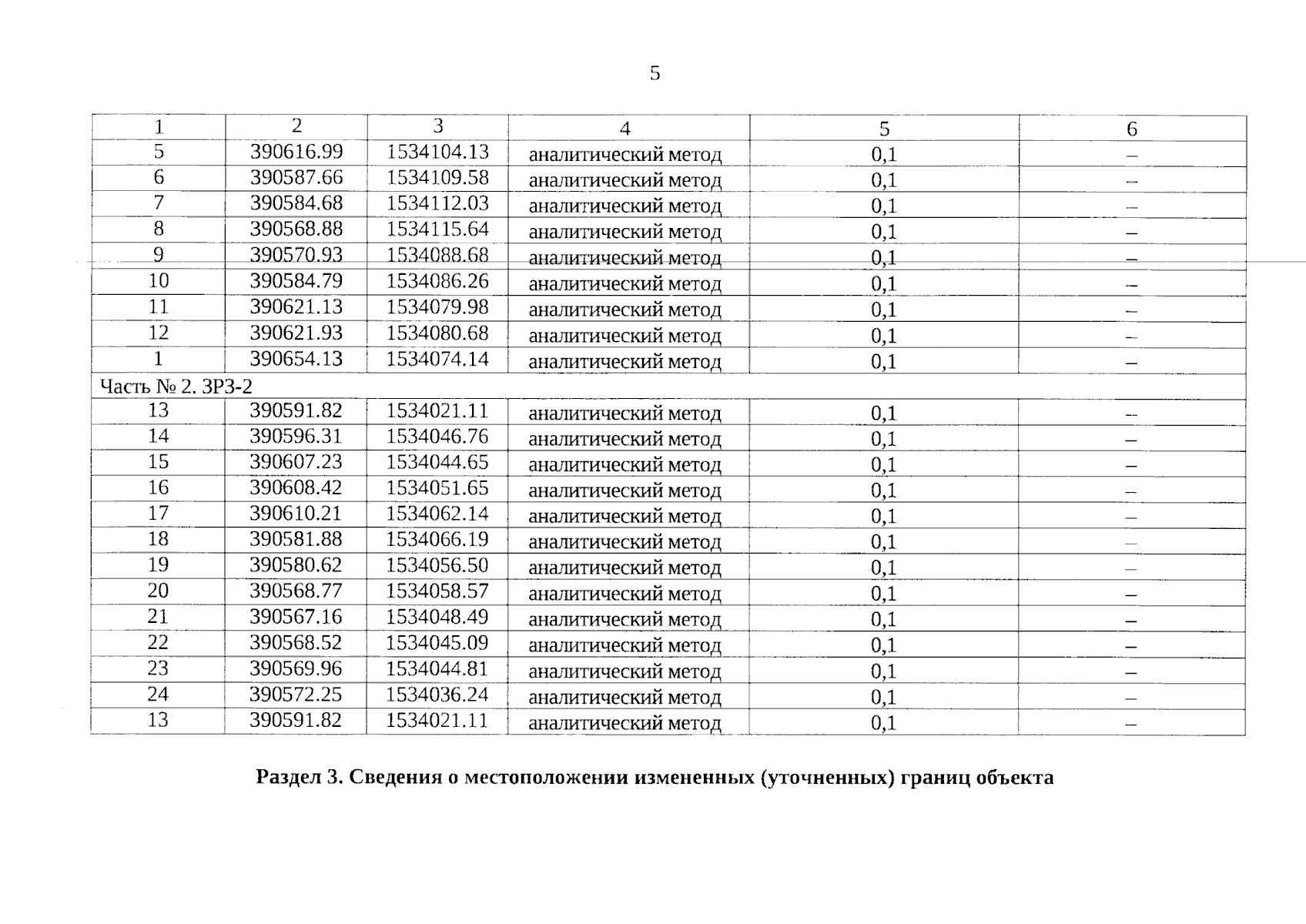
Приказ Управления государственной охраны объектов культурного наследия Свердловской области от 01.04.2024 № 188
"Об установлении зон охраны объекта культурного наследия регионального значения "Дом Е.Д. Скрябиной", расположенного по адресу: Свердловская область, г. Екатеринбург, ул. Горького, д. 6, и утверждении требований к градостроительным регламентам в границах данных зон"
(Зарегистрирован 02.04.2024 № 1492)
Номер опубликования: 6601202404030008
Дата опубликования: 03.04.2024
Страница №5 из 11:
Увеличить