Официальное опубликование правовых актов
ОФИЦИАЛЬНОЕ ОПУБЛИКОВАНИЕ
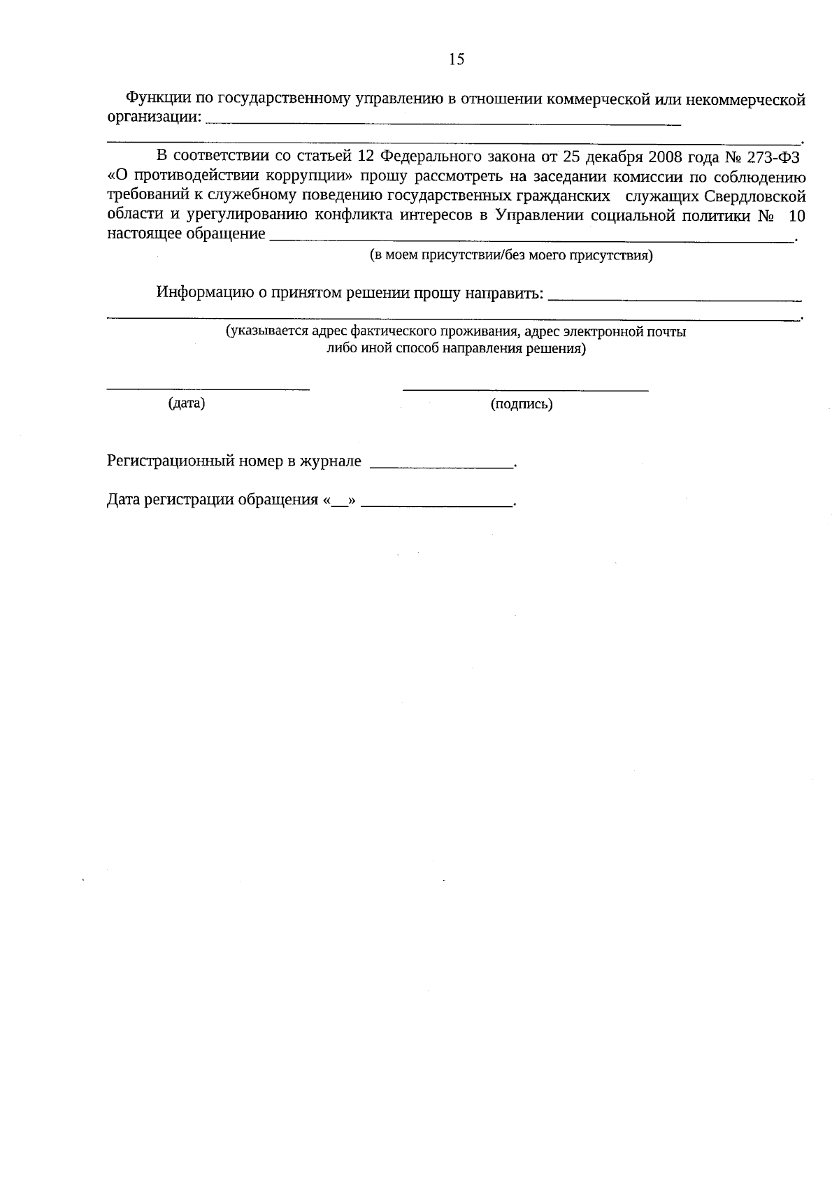
Приказ Территориального отраслевого исполнительного органа государственной власти Свердловской области - Управления социальной политики Министерства социальной политики Свердловской области № 10 от 26.03.2024 № 597
"О комиссии территориального отраслевого исполнительного органа государственной власти Свердловской области – Управления социальной политики Министерства социальной политики Свердловской области № 10 по соблюдению требований к служебному поведению государственных гражданских служащих и урегулированию конфликта интересов"
(Зарегистрирован 29.03.2024 № 1473)
Номер опубликования: 6601202404010004
Дата опубликования: 01.04.2024
Страница №15 из 25:
Увеличить