Официальное опубликование правовых актов
ОФИЦИАЛЬНОЕ ОПУБЛИКОВАНИЕ
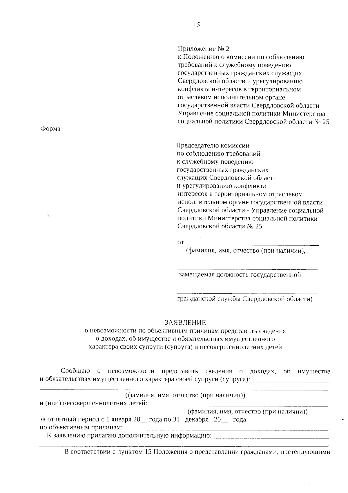
Приказ Территориального отраслевого исполнительного органа государственной власти Свердловской области - Управления социальной политики Министерства социальной политики Свердловской области № 25 от 01.11.2023 № 4665/1
"О комиссии по соблюдению требований к служебному поведению государственных гражданских служащих Свердловской области и урегулированию конфликта интересов в территориальном отраслевом исполнительном органе государственной власти Свердловской области - Управлении социальной политики Министерства социальной политики Свердловской области № 25"
(Зарегистрирован 08.02.2024 № 1279)
Номер опубликования: 6601202402090007
Дата опубликования: 09.02.2024
Страница №15 из 28:
Увеличить