Официальное опубликование правовых актов
ОФИЦИАЛЬНОЕ ОПУБЛИКОВАНИЕ
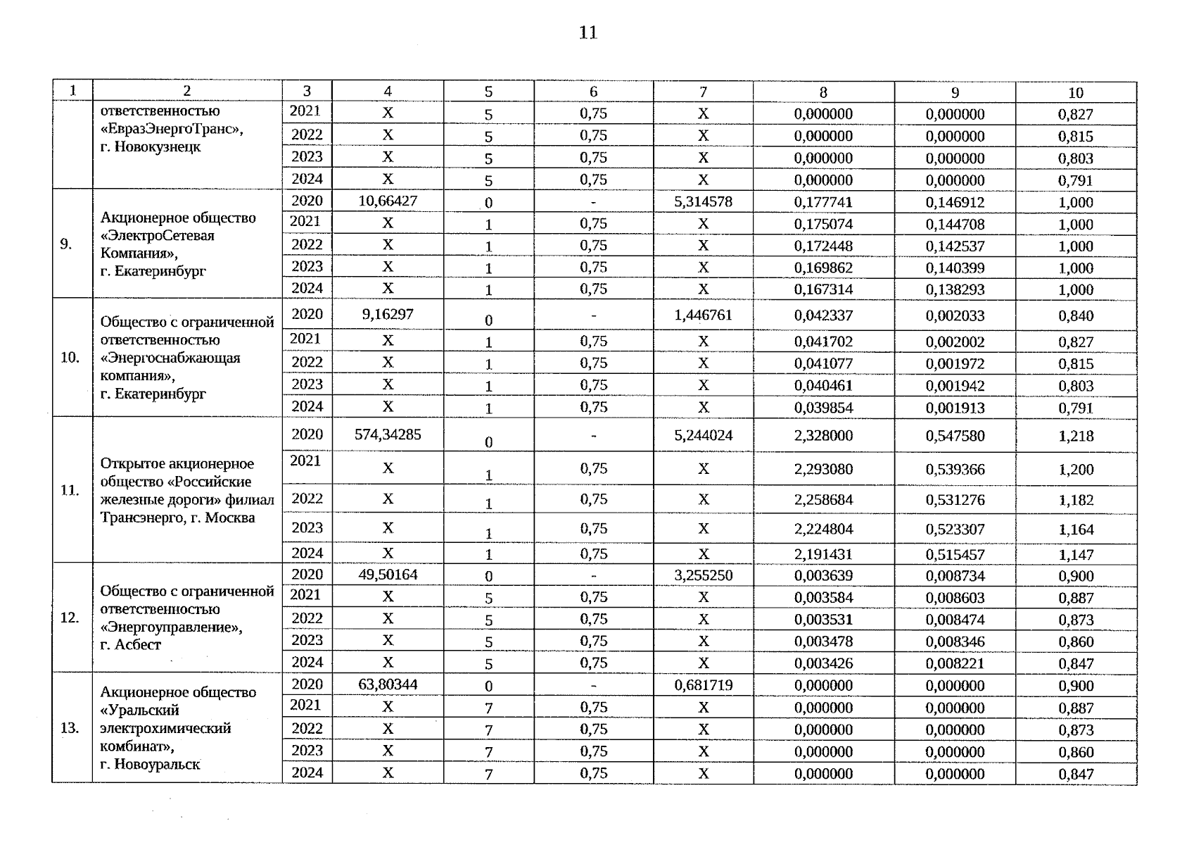
Постановление Региональной энергетической комиссии Свердловской области от 29.12.2023 № 265-ПК
"О признании утратившими силу отдельных постановлений Региональной энергетической комиссии Свердловской области и о внесении изменений в отдельные постановления Региональной энергетической комиссии Свердловской области"
(Зарегистрирован 11.01.2024 № 1177)
Номер опубликования: 6601202401110015
Дата опубликования: 11.01.2024
Страница №11 из 20:
Увеличить