Официальное опубликование правовых актов
ОФИЦИАЛЬНОЕ ОПУБЛИКОВАНИЕ
Приказ Управления государственной охраны объектов культурного наследия Свердловской области от 23.10.2023 № 653
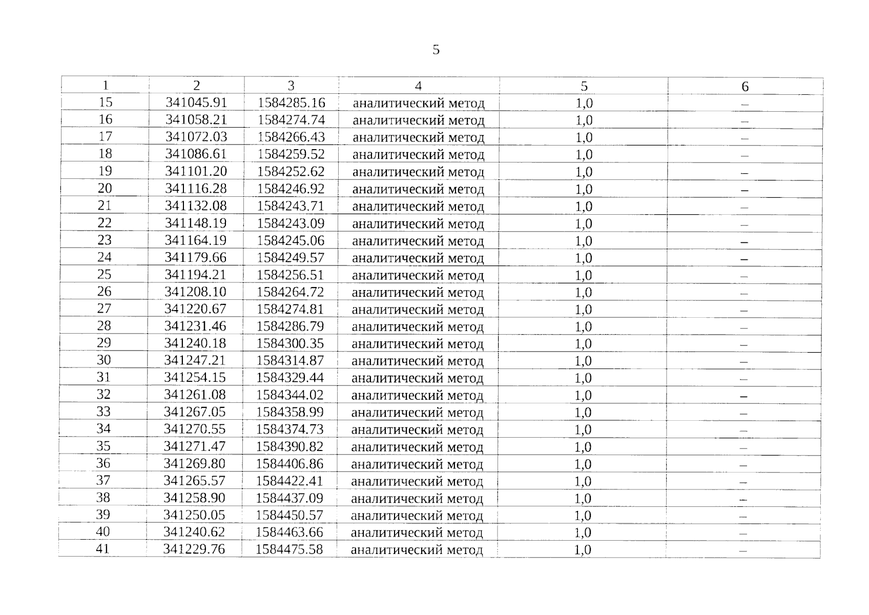
"Об утверждении графического описания местоположения границ защитной зоны объекта культурного наследия регионального значения "Церковь Троицы", расположенного по адресу (местоположение): Свердловская область, Каменский район, с. Троицкое, с перечнем координат характерных точек этих границ в системе координат, установленной для ведения Единого государственного реестра недвижимости, и режима использования земель в границах данной защитной зоны"
(Зарегистрирован 25.10.2023 № 797)
Номер опубликования: 6601202310250005
Дата опубликования: 25.10.2023
Страница №5 из 8:
Увеличить