Официальное опубликование правовых актов
ОФИЦИАЛЬНОЕ ОПУБЛИКОВАНИЕ
Приказ Управления государственной охраны объектов культурного наследия Свердловской области от 16.10.2023 № 638
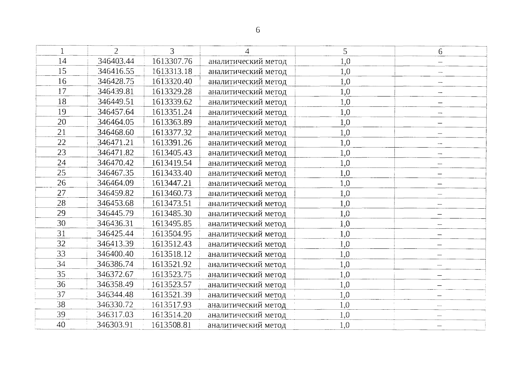
"Об утверждении графического описания местоположения границ защитной зоны объекта культурного наследия регионального значения "Дом, в котором жил первый председатель Каменского Совета рабочих и солдатских депутатов Я.Ф. Прокопьев", расположенного по адресу: Свердловская область, г. Каменский-Уральский, ул. Прокопьева, д. 26, с перечнем координат характерных точек этих границ в системе координат, установленной для ведения Единого государственного реестра недвижимости, и режима использования земель в границах данной защитной зоны"
(Зарегистрирован 17.10.2023 № 772)
Номер опубликования: 6601202310180005
Дата опубликования: 18.10.2023
Страница №6 из 9:
Увеличить