Приказ Управления государственной охраны объектов культурного наследия Свердловской области от 16.10.2023 № 637
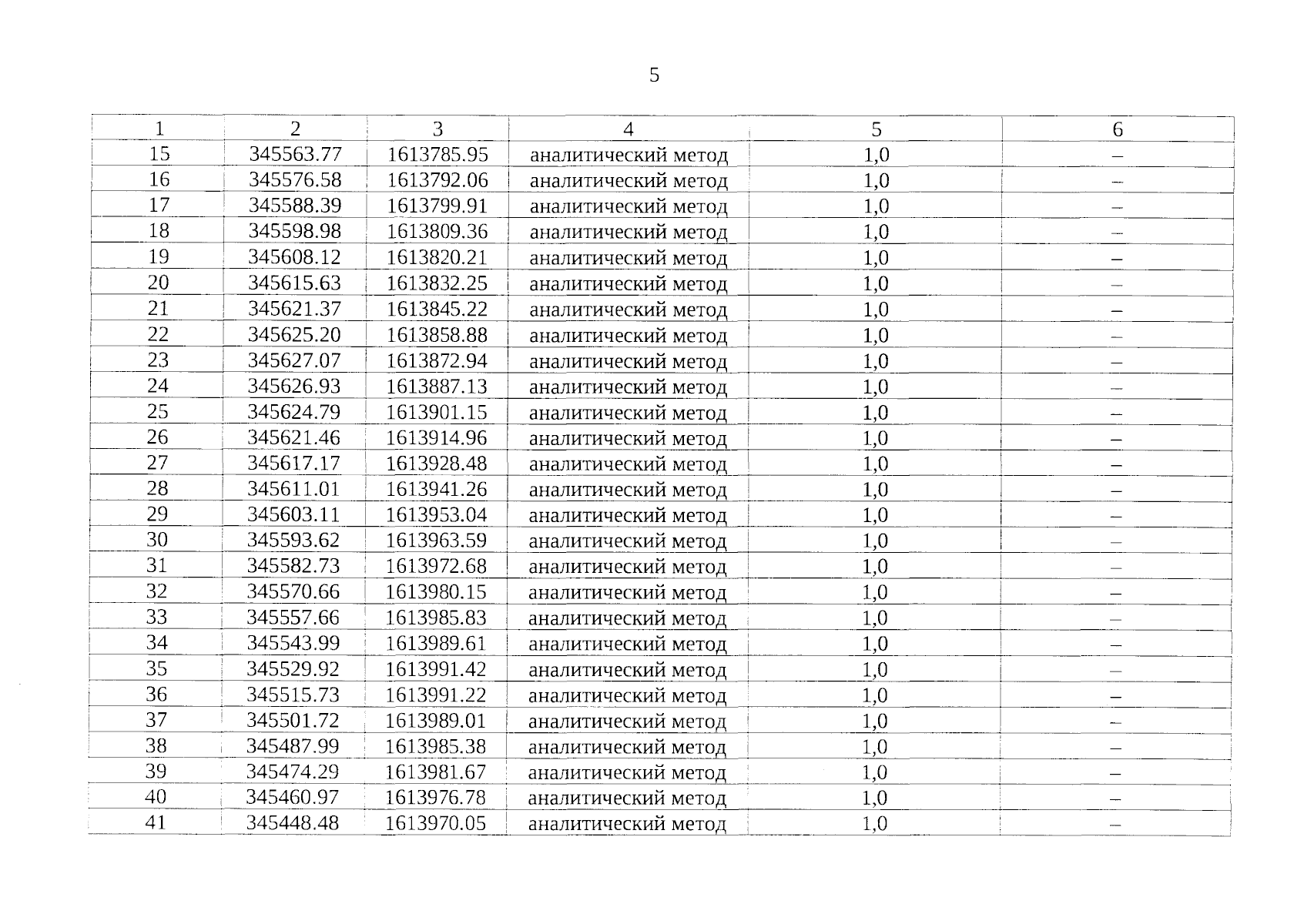
"Об утверждении графического описания местоположения границ защитной зоны объекта культурного наследия регионального значения "Лавка", расположенного по адресу: Свердловская область, г. Каменск-Уральский, ул. Ленина, д. 111, литера А, с перечнем координат характерных точек этих границ в системе координат, установленной для ведения Единого государственного реестра недвижимости, и режима использования земель в границах данной защитной зоны"
(Зарегистрирован 17.10.2023 № 771)
"Об утверждении графического описания местоположения границ защитной зоны объекта культурного наследия регионального значения "Лавка", расположенного по адресу: Свердловская область, г. Каменск-Уральский, ул. Ленина, д. 111, литера А, с перечнем координат характерных точек этих границ в системе координат, установленной для ведения Единого государственного реестра недвижимости, и режима использования земель в границах данной защитной зоны"
(Зарегистрирован 17.10.2023 № 771)
Номер опубликования: 6601202310180004
Дата опубликования:
18.10.2023
