Официальное опубликование правовых актов
ОФИЦИАЛЬНОЕ ОПУБЛИКОВАНИЕ
Приказ Управления государственной охраны объектов культурного наследия Свердловской области от 10.10.2023 № 631
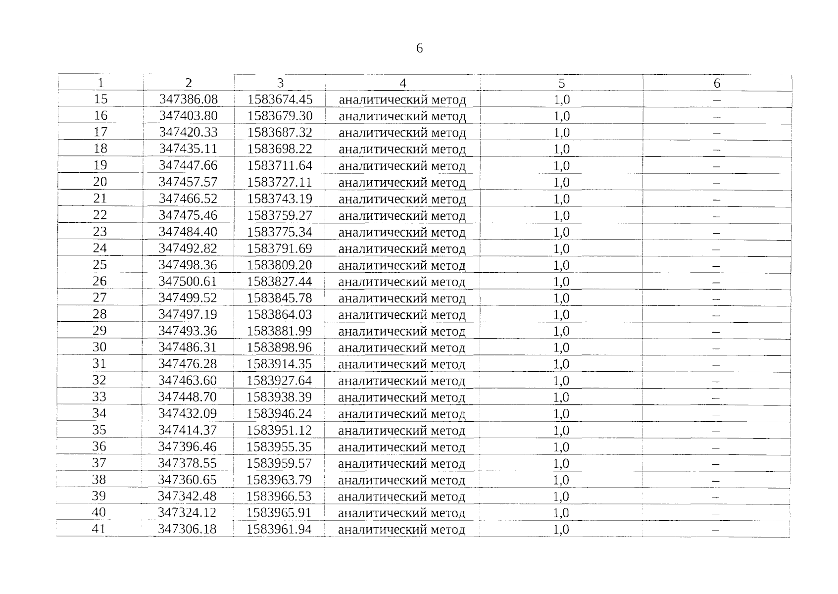
"Об утверждении графического описания местоположения границ защитной зоны объекта культурного наследия регионального значения "Церковь", расположенного по адресу: Свердловская область, Каменский район, с. Маминское, ул. Чапаева, д. 1Г, с перечнем координат характерных точек этих границ в системе координат, установленной для ведения Единого государственного реестра недвижимости, и режима использования земель в границах данной защитной зоны"
(Зарегистрирован 11.10.2023 № 755)
Номер опубликования: 6601202310120003
Дата опубликования: 12.10.2023
Страница №6 из 9:
Увеличить