Официальное опубликование правовых актов
ОФИЦИАЛЬНОЕ ОПУБЛИКОВАНИЕ
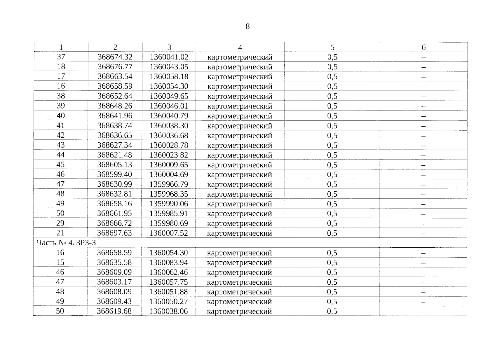
Приказ Управления государственной охраны объектов культурного наследия Свердловской области от 02.10.2023 № 602
"Об установлении зон охраны объекта культурного наследия регионального значения "Корпус винокуренного завода", расположенного по адресу: Свердловская область, г. Красноуфимск, ул. Мизерова, д. 66, и утверждении требований к градостроительным регламентам в границах данных зон"
(Зарегистрирован 03.10.2023 № 722)
Номер опубликования: 6601202310030013
Дата опубликования: 03.10.2023
Страница №8 из 17:
Увеличить