Официальное опубликование правовых актов
ОФИЦИАЛЬНОЕ ОПУБЛИКОВАНИЕ
Приказ Департамента ветеринарии Свердловской области от 19.09.2023 № 333
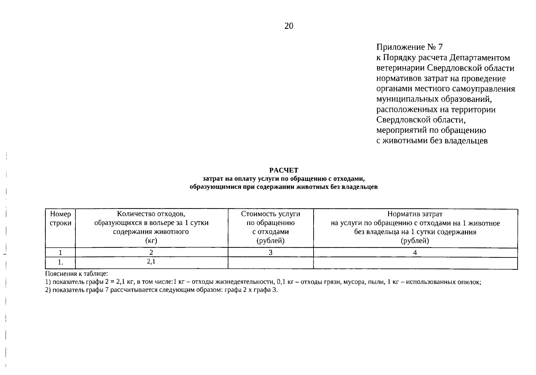
"Об утверждении Порядка расчета Департаментом ветеринарии Свердловской области нормативов затрат на проведение органами местного самоуправления муниципальных образований, расположенных на территории Свердловской области, мероприятий по обращению с животными без владельцев"
(Зарегистрирован 21.09.2023 № 665)
Номер опубликования: 6601202309210001
Дата опубликования: 21.09.2023
Страница №20 из 21:
Увеличить