Официальное опубликование правовых актов
ОФИЦИАЛЬНОЕ ОПУБЛИКОВАНИЕ
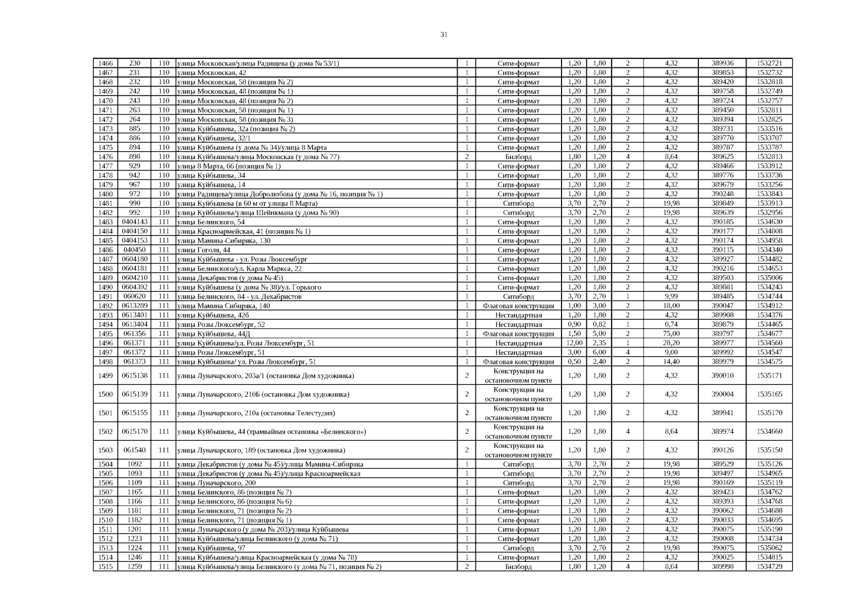
Приказ Министерства по управлению государственным имуществом Свердловской области от 11.09.2023 № 5125
"О внесении изменений в схему размещения рекламных конструкций на территории муниципального образования "город Екатеринбург", утвержденную приказом Министерства по управлению государственным имуществом Свердловской области от 29.07.2016 № 1684"
(Зарегистрирован 13.09.2023 № 648)
Номер опубликования: 6601202309140004
Дата опубликования: 14.09.2023
Страница №300 из 325:
Увеличить