Официальное опубликование правовых актов
ОФИЦИАЛЬНОЕ ОПУБЛИКОВАНИЕ
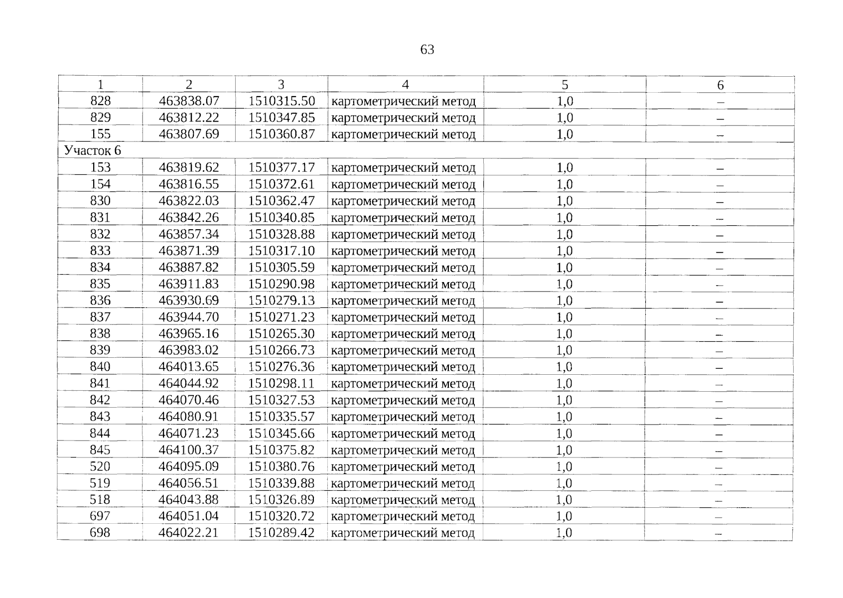
Приказ Управления государственной охраны объектов культурного наследия Свердловской области от 08.09.2023 № 555
"Об установлении объединенной зоны охраны объектов культурного наследия федерального и регионального значения, расположенных по адресу (местоположение): Свердловская область, г. Невьянск, и утверждении требований к градостроительным регламентам в границах данной зоны"
(Зарегистрирован 12.09.2023 № 637)
Номер опубликования: 6601202309120004
Дата опубликования: 12.09.2023
Страница №63 из 83:
Увеличить