Официальное опубликование правовых актов
ОФИЦИАЛЬНОЕ ОПУБЛИКОВАНИЕ
Приказ Управления государственной охраны объектов культурного наследия Свердловской области от 17.08.2023 № 518
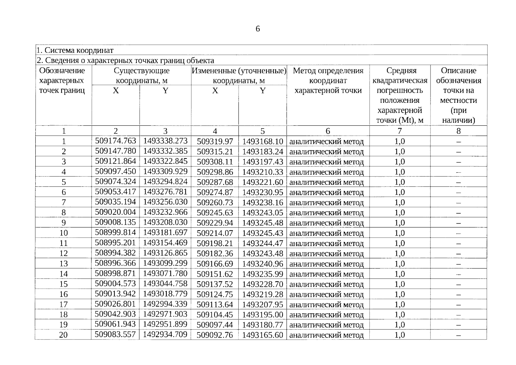
"Об утверждении графического описания местоположения границ защитной зоны объекта культурного наследия регионального значения "Свято-Троицкая единоверческая церковь", расположенного по адресу: Свердловская область, г. Нижний Тагил, ул. Трудовая, д. 3, с перечнем координат характерных точек этих границ в системе координат, установленной для ведения Единого государственного реестра недвижимости, и режима использования земель в границах данной защитной зоны"
(Зарегистрирован 18.08.2023 № 578 )
Номер опубликования: 6601202308180004
Дата опубликования: 18.08.2023
Страница №6 из 9:
Увеличить