Официальное опубликование правовых актов
ОФИЦИАЛЬНОЕ ОПУБЛИКОВАНИЕ
Приказ Управления государственной охраны объектов культурного наследия Свердловской области от 17.08.2023 № 519
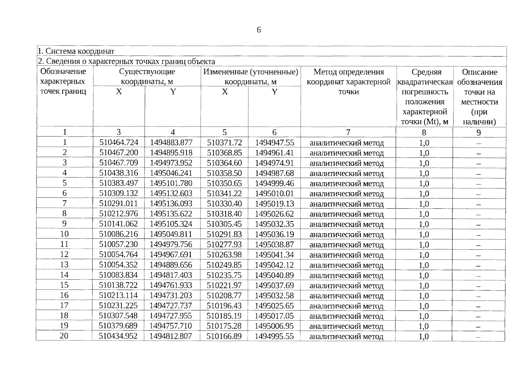
"Об утверждении графического описания местоположения границ защитной зоны объекта культурного наследия регионального значения "Дом торговца Лебедева. Конспиративная квартира Нижнетагильской группы РСДРП (Б) в 1901-1905 гг.", расположенного по адресу: Свердловская область, г. Нижний Тагил, ул. Карла Маркса, д. 53, с перечнем координат характерных точек этих границ в системе координат, установленной для ведения Единого государственного реестра недвижимости, и режима использования земель в границах данной защитной зоны"
(Зарегистрирован 18.08.2023 № 579)
Номер опубликования: 6601202308180002
Дата опубликования: 18.08.2023
Страница №6 из 9:
Увеличить