Официальное опубликование правовых актов
ОФИЦИАЛЬНОЕ ОПУБЛИКОВАНИЕ
Приказ Управления государственной охраны объектов культурного наследия Свердловской области от 14.08.2023 № 504
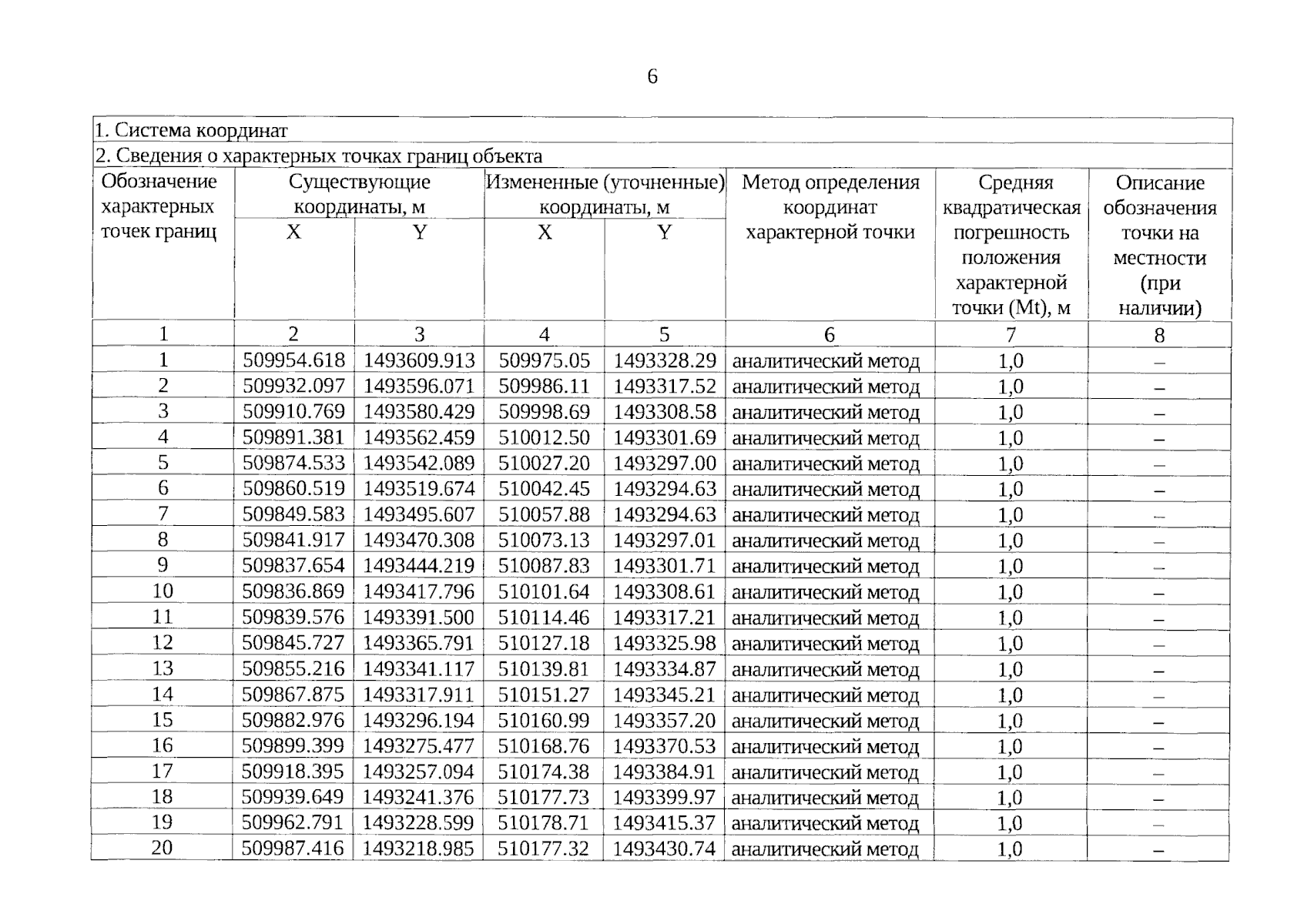
"Об утверждении графического описания местоположения границ защитной зоны объекта культурного наследия федерального значения "Жилой дом", расположенного по адресу: Свердловская область, г. Нижний Тагил, ул. Тагильская, д. 26, с перечнем координат характерных точек этих границ в системе координат, установленной для ведения Единого государственного реестра недвижимости, и режима использования земель в границах данной защитной зоны"
(Зарегистрирован 15.08.2023 № 558)
Номер опубликования: 6601202308160009
Дата опубликования: 16.08.2023
Страница №6 из 9:
Увеличить