Официальное опубликование правовых актов
ОФИЦИАЛЬНОЕ ОПУБЛИКОВАНИЕ
Приказ Управления государственной охраны объектов культурного наследия Свердловской области от 14.08.2023 № 507
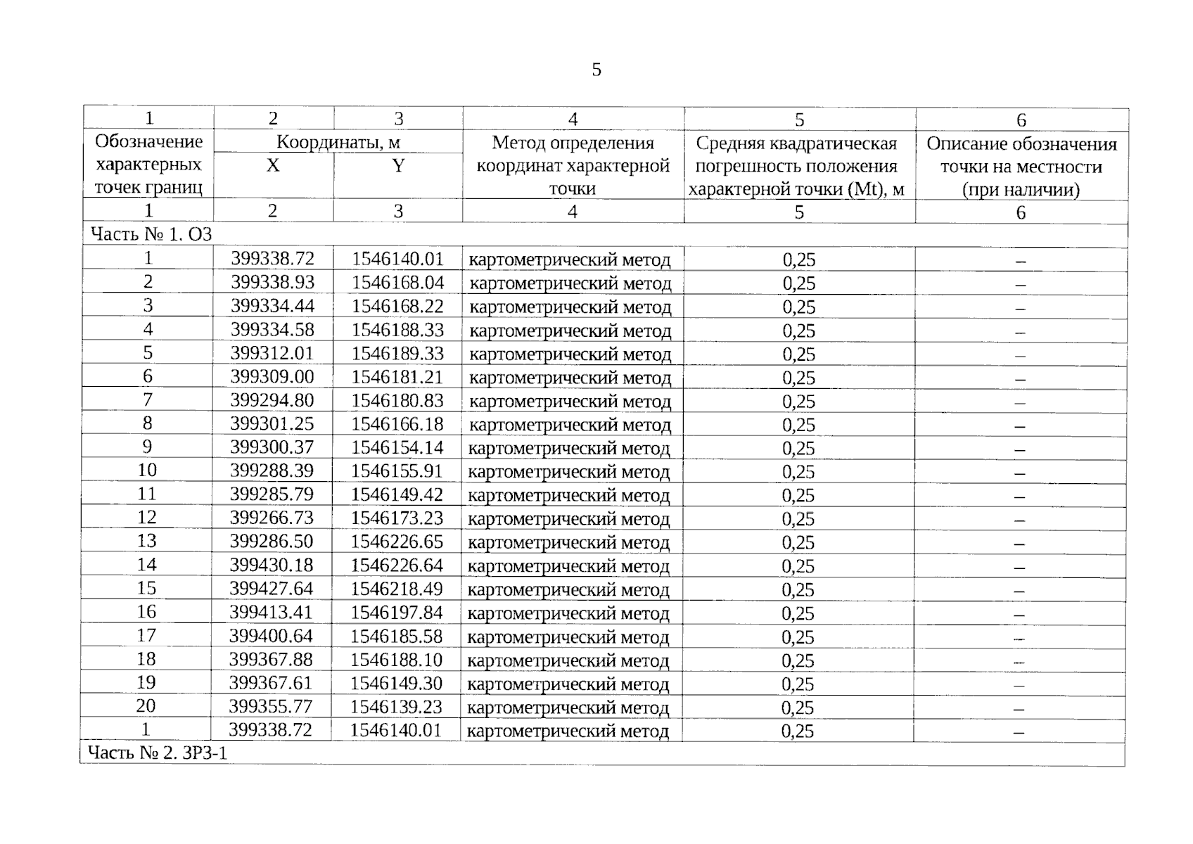
"О внесении изменений в приказ Управления государственной охраны объектов культурного наследия Свердловской области от 25.12.2020 № 1208 "Об установлении зон охраны объекта культурного наследия регионального значения "Успенская церковь", расположенного по адресу: Свердловская область, г. Берёзовский, пер. Клубный, д. 1, и утверждении требований к градостроительным регламентам в границах данных зон"
(Зарегистрирован 15.08.2023 № 561 )
Номер опубликования: 6601202308150002
Дата опубликования: 15.08.2023
Страница №5 из 10:
Увеличить