Официальное опубликование правовых актов
ОФИЦИАЛЬНОЕ ОПУБЛИКОВАНИЕ
Приказ Управления государственной охраны объектов культурного наследия Свердловской области от 14.08.2023 № 503
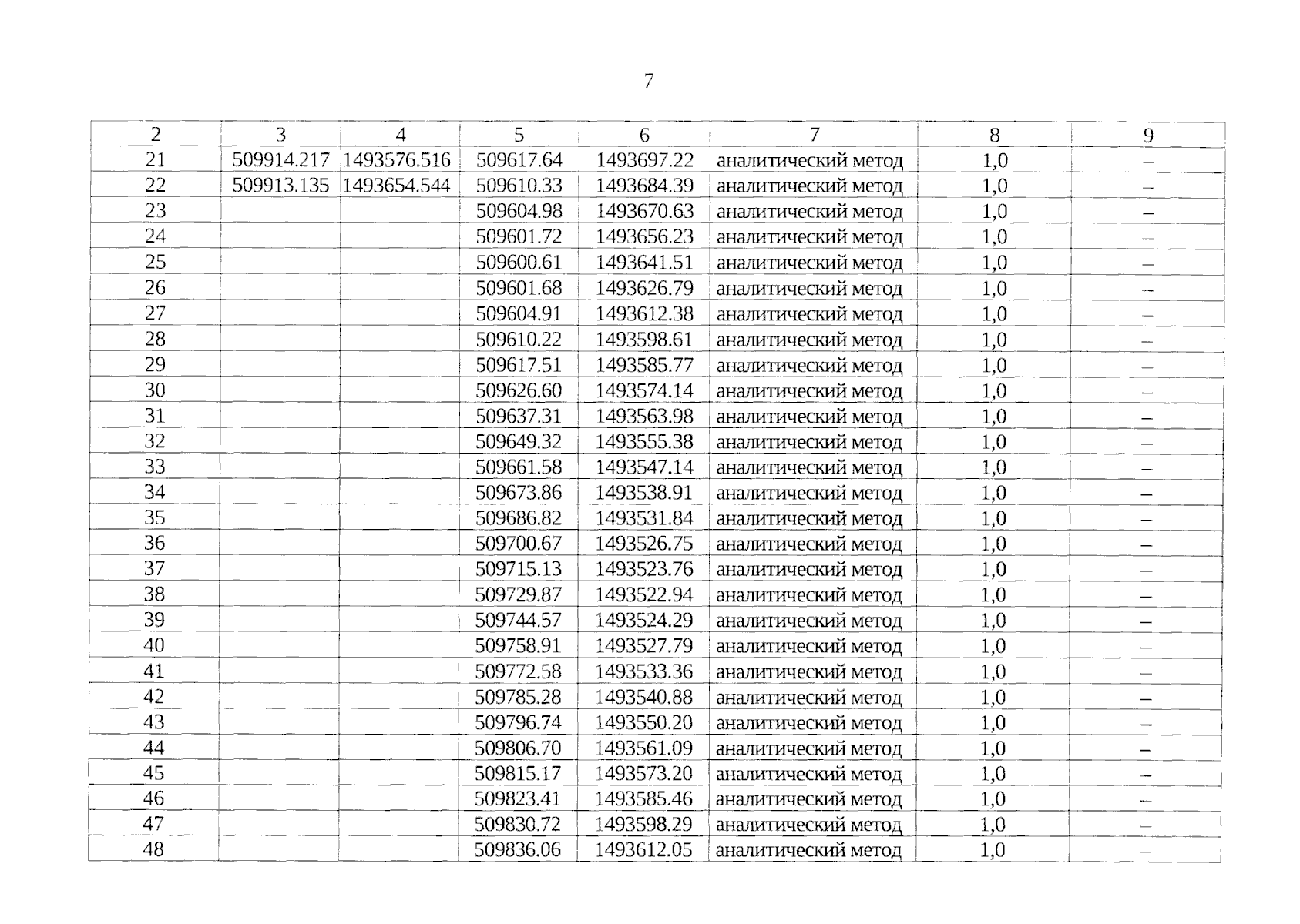
"Об утверждении графического описания местоположения границ защитной зоны объекта культурного наследия регионального значения "Бывший дом тагильского купца Волгина", расположенного по адресу: Свердловская область, г. Нижний Тагил, ул. Кирова, д. 2, строение 1, с перечнем координат характерных точек этих границ в системе координат, установленной для ведения Единого государственного реестра недвижимости, и режима использования земель в границах данной защитной зоны"
(Зарегистрирован 15.08.2023 № 557)
Номер опубликования: 6601202308150001
Дата опубликования: 15.08.2023
Страница №7 из 9:
Увеличить