Официальное опубликование правовых актов
ОФИЦИАЛЬНОЕ ОПУБЛИКОВАНИЕ
Приказ Управления государственной охраны объектов культурного наследия Свердловской области от 09.08.2023 № 496
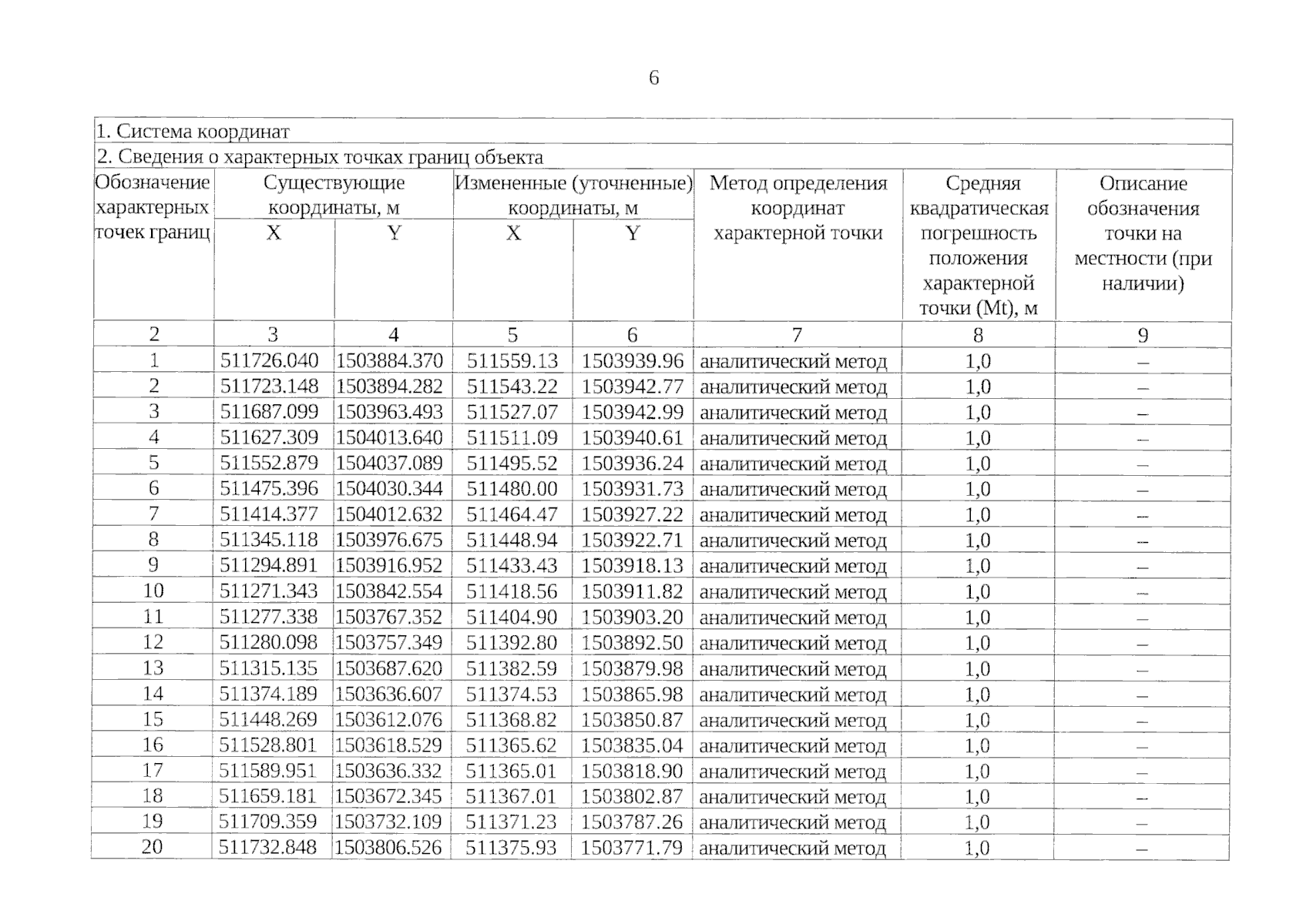
"Об утверждении графического описания местоположения границ защитной зоны объекта культурного наследия регионального значения "Дом, где с 1941 по 1944 год в квартире № 1 жил академик Е.О. Патон", расположенного по адресу: Свердловская область, г. Нижний Тагил, пр. Дзержинского, д. 34, кв. 1, с перечнем координат характерных точек этих границ в системе координат, установленной для ведения Единого государственного реестра недвижимости, и режима использования земель в границах данной защитной зоны"
(Зарегистрирован 10.08.2023 № 527)
Номер опубликования: 6601202308140017
Дата опубликования: 14.08.2023
Страница №6 из 9:
Увеличить