Официальное опубликование правовых актов
ОФИЦИАЛЬНОЕ ОПУБЛИКОВАНИЕ
Приказ Управления государственной охраны объектов культурного наследия Свердловской области от 09.08.2023 № 497
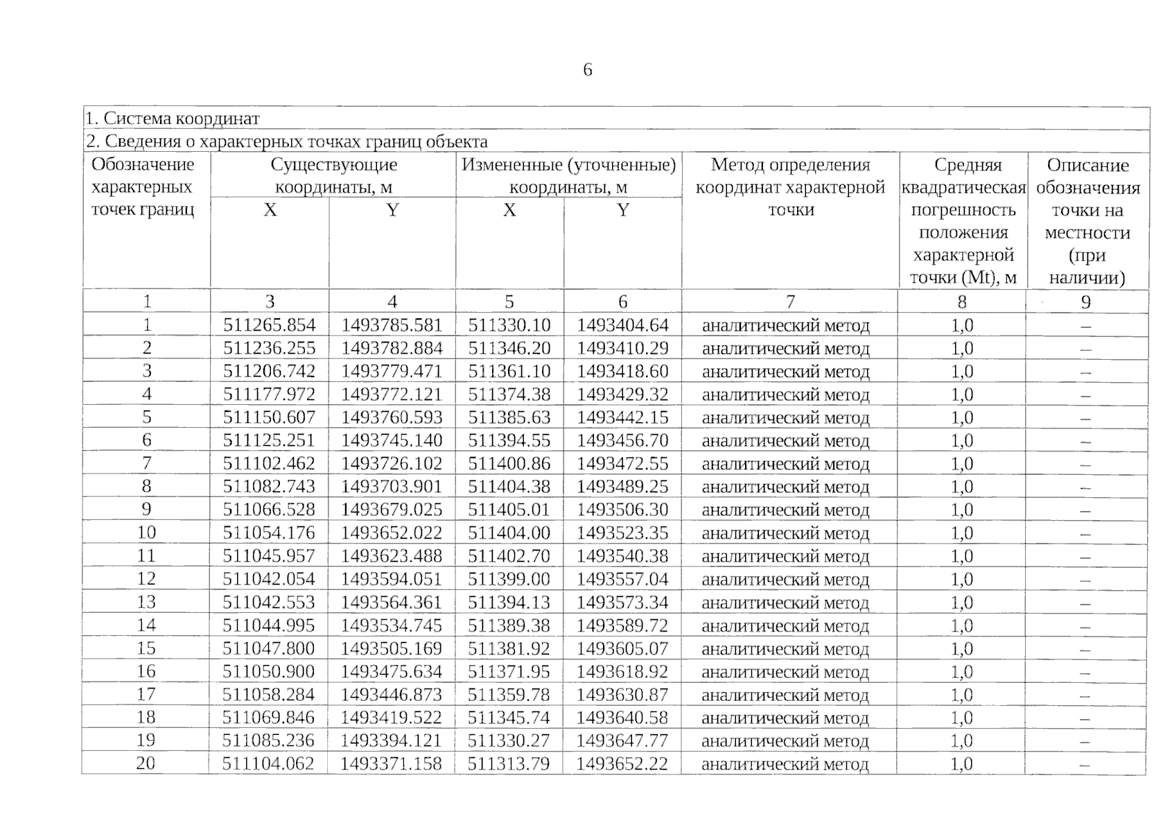
"Об утверждении графического описания местоположения границ защитной зоны объекта культурного наследия регионального значения "Здание земского училища", расположенного по адресу: Свердловская область, г. Нижний Тагил, Липовый тракт, д. 11, с перечнем координат характерных точек этих границ в системе координат, установленной для ведения Единого государственного реестра недвижимости, и режима использования земель в границах данной защитной зоны"
(Зарегистрирован 10.08.2023 № 528)
Номер опубликования: 6601202308140004
Дата опубликования: 14.08.2023
Страница №6 из 9:
Увеличить