Официальное опубликование правовых актов
ОФИЦИАЛЬНОЕ ОПУБЛИКОВАНИЕ
Приказ Управления государственной охраны объектов культурного наследия Свердловской области от 01.08.2023 № 484
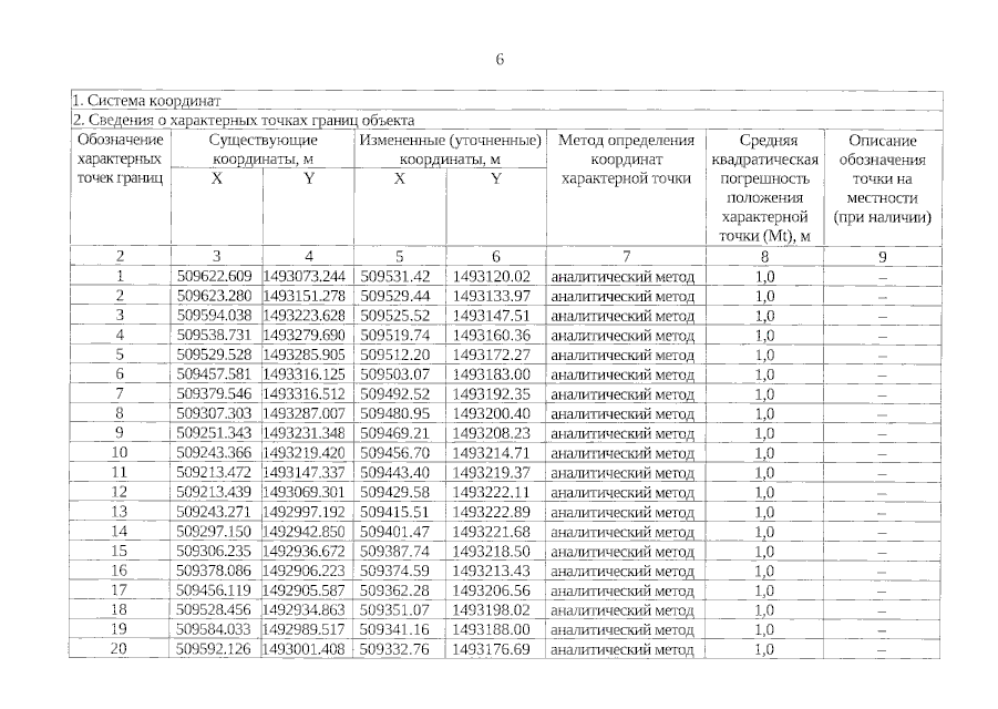
"Об утверждении графического описания местоположения границ защитной зоны объекта культурного наследия регионального значения "Дом, где в 1878 г. жил писатель Д.Н. Мамин-Сибиряк. Дом начальника рудника", расположенного по адресу: Свердловская область, г. Нижний Тагил, ул. Кирова, д. 37, с перечнем координат характерных точек этих границ в системе координат, установленной для ведения Единого государственного реестра недвижимости, и режима использования земель в границах данной защитной зоны"
(Зарегистрирован 02.08.2023 № 498)
Номер опубликования: 6601202308030002
Дата опубликования: 03.08.2023
Страница №6 из 9:
Увеличить