Официальное опубликование правовых актов
ОФИЦИАЛЬНОЕ ОПУБЛИКОВАНИЕ
Приказ Управления государственной охраны объектов культурного наследия Свердловской области от 27.07.2023 № 475
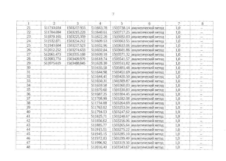
"Об утверждении графического описания местоположения границ защитной зоны объекта культурного наследия регионального значения "Комплекс домов по ул. Ильича, построенные в духе советского конструктивизма", расположенного по адресу: Свердловская область, г. Нижний Тагил, ул. Ильича, д. 2, 4, 6, 8, с перечнем координат характерных точек этих границ в системе координат, установленной для ведения Единого государственного реестра недвижимости, и режима использования земель в границах данной защитной зоны"
(Зарегистрирован 01.08.2023 № 494)
Номер опубликования: 6601202308020011
Дата опубликования: 02.08.2023
Страница №7 из 9:
Увеличить