Официальное опубликование правовых актов
ОФИЦИАЛЬНОЕ ОПУБЛИКОВАНИЕ
Приказ Управления государственной охраны объектов культурного наследия Свердловской области от 27.07.2023 № 473
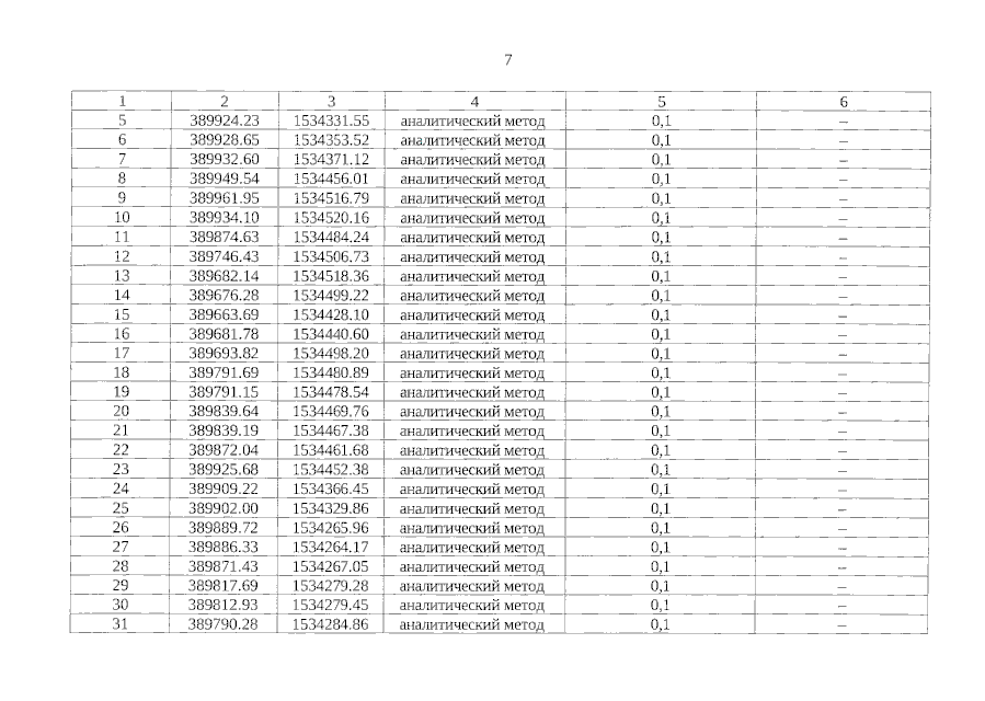
"Об установлении объединенной зоны охраны объекта культурного наследия федерального значения "Дом Рязанова", расположенного по адресу: Свердловская область, г. Екатеринбург, ул. Куйбышева, д. 40, объекта культурного наследия регионального значения "Загородная усадьба Самарцева" и входящих в его состав объектов культурного наследия регионального значения "Дом", "Флигель" и "Ворота", расположенных по адресу: Свердловская область, г. Екатеринбург, ул. Розы Люксембург, д. 54, и объекта культурного наследия регионального значения "Бывшая усадьба Железнова", расположенного по адресу: Свердловская область, г. Екатеринбург, ул. Розы Люксембург, д. 56, и утверждении требований к градостроительным регламентам в границах данной зоны"
(Зарегистрирован 01.08.2023 № 492)
Номер опубликования: 6601202308020009
Дата опубликования: 02.08.2023
Страница №7 из 19:
Увеличить