Официальное опубликование правовых актов
ОФИЦИАЛЬНОЕ ОПУБЛИКОВАНИЕ
Приказ Управления государственной охраны объектов культурного наследия Свердловской области от 25.07.2023 № 463
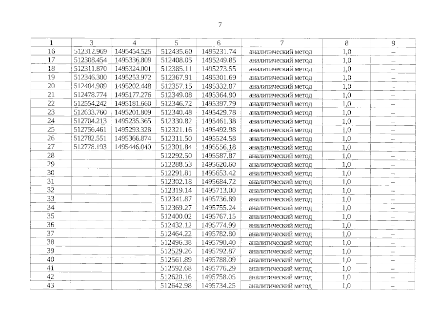
"Об утверждении графического описания местоположения границ защитной зоны объекта культурного наследия федерального значения "Комплекс зданий района "Красный камень", расположенного по адресу: Свердловская область, г. Нижний Тагил, район Красный Камень, и входящих в его состав объектов культурного наследия федерального значения "Жилой дом", расположенного по адресу: Свердловская область, г. Нижний Тагил, ул. Жуковского, д. 8, и "Жилой дом", расположенного по адресу: Свердловская область, г. Нижний Тагил, ул. Жуковского, д. 20, с перечнем координат характерных точек этих границ в системе координат, установленной для ведения Единого государственного реестра недвижимости, и режима использования земель в границах данной защитной зоны"
(Зарегистрирован 25.07.2023 № 469)
Номер опубликования: 6601202307260002
Дата опубликования: 26.07.2023
Страница №7 из 9:
Увеличить