Официальное опубликование правовых актов
ОФИЦИАЛЬНОЕ ОПУБЛИКОВАНИЕ
Приказ Министерства строительства и развития инфраструктуры Свердловской области от 13.07.2023 № 409-П
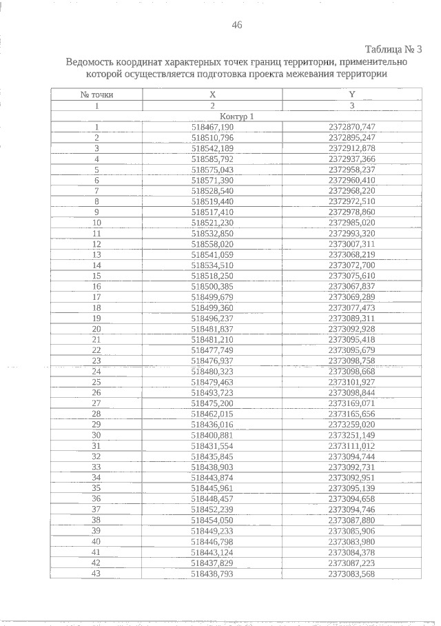
"Об утверждении основной части проекта планировки территории для размещения линейного объекта транспортной инфраструктуры регионального значения "Реконструкция мостового перехода через р. Татарку на км 7+884 а/д "Подъезд к с. Городище от км 108+129 а/д "с. Байкалово – с. Туринская Слобода – г. Туринск" на территории Туринского городского округа" и основной части проекта межевания территории для размещения линейного объекта транспортной инфраструктуры регионального значения "Реконструкция мостового перехода через р. Татарку на км 7+884 а/д "Подъезд к с. Городище от км 108+129 а/д "с. Байкалово – с. Туринская Слобода – г. Туринск" на территории Туринского городского округа"
(Зарегистрирован 19.07.2023 № 439)
Номер опубликования: 6601202307200002
Дата опубликования: 20.07.2023
Страница №46 из 57:
Увеличить