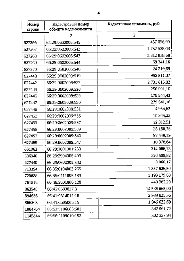
Приказ Министерства по управлению государственным имуществом Свердловской области от 11.07.2023 № 3928
"О внесении изменений в Результаты определения кадастровой стоимости земельных участков, расположенных на территории Свердловской области, утвержденные приказом Министерства по управлению государственным имуществом Свердловской области от 21.11.2022 № 5500"
(Зарегистрирован 14.07.2023 № 419)
"О внесении изменений в Результаты определения кадастровой стоимости земельных участков, расположенных на территории Свердловской области, утвержденные приказом Министерства по управлению государственным имуществом Свердловской области от 21.11.2022 № 5500"
(Зарегистрирован 14.07.2023 № 419)
Номер опубликования: 6601202307170002
Дата опубликования:
17.07.2023
