Официальное опубликование правовых актов
ОФИЦИАЛЬНОЕ ОПУБЛИКОВАНИЕ
Приказ Министерства строительства и развития инфраструктуры Свердловской области от 03.07.2023 № 393-П
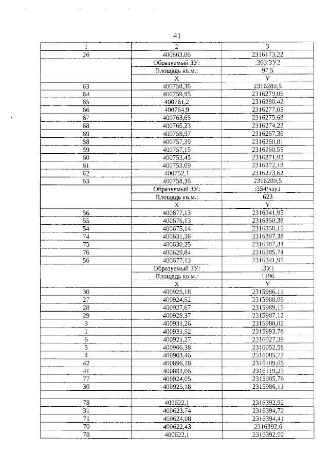
"Об утверждении основной части проекта планировки территории для размещения линейного объекта по титулу: "Реконструкция ВЛ 110 кВ Аксариха – Черемыш. Переустройство отпайки на ПС 110 кВ Черемыш (электросетевой комплекс подстанции 110/10 кВ "Черемыш"), 0,133 км" и основной части проекта межевания территории для размещения линейного объекта по титулу: "Реконструкция ВЛ 110 кВ Аксариха – Черемыш. Переустройство отпайки на ПС 110 кВ Черемыш (электросетевой комплекс подстанции 110/10 кВ "Черемыш"), 0,133 км"
(Зарегистрирован 05.07.2023 № 396)
Номер опубликования: 6601202307060001
Дата опубликования: 06.07.2023
Страница №41 из 47:
Увеличить