Официальное опубликование правовых актов
ОФИЦИАЛЬНОЕ ОПУБЛИКОВАНИЕ
Приказ Управления государственной охраны объектов культурного наследия Свердловской области от 02.06.2023 № 336
"Об установлении зон охраны объекта культурного наследия регионального значения "Дом Рязанова", расположенного по адресу: Свердловская область, г. Екатеринбург, ул. Куйбышева, д. 63, и утверждении требований к градостроительным регламентам в границах данных зон"
(Зарегистрирован 05.06.2023 № 287)
Номер опубликования: 6601202306060002
Дата опубликования: 06.06.2023
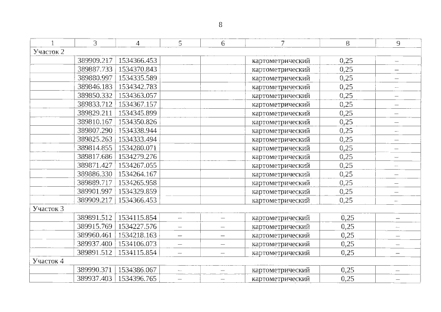
Страница №8 из 18:
Увеличить